|
|
|
Optimierung mit Matlab (allgemeine Diskussion) |
|
| Harald |

Forum-Meister
|
 |
Beiträge: 24.502
|
 |
|
 |
Anmeldedatum: 26.03.09
|
 |
|
 |
Wohnort: Nähe München
|
 |
|
 |
Version: ab 2017b
|
 |
|
|
 |
|
Verfasst am: 21.12.2012, 20:59
Titel:
|
 |
Hallo,
die beste Wahl von x0 ist die, die das beste Ergebnis (Wert der Zielfunktion) liefert. Wenn eine Funktion viele lokale Minima hat, sollte man über globale Optimierung nachdenken, d.h. entweder selbst programmiert oder wie in der Global Optimization Toolbox vorgesehen über verschiedene Startwerte iterieren. Alternativ Algorithmen wie patternsearch oder ga verwenden.
Grüße,
Harald
|
|
|
|
|
|
| marc-205 |

Forum-Anfänger
|
 |
Beiträge: 25
|
 |
|
 |
Anmeldedatum: 12.12.12
|
 |
|
 |
Wohnort: ---
|
 |
|
 |
Version: R2010b
|
 |
|
|
 |
|
Verfasst am: 13.05.2013, 15:08
Titel:
|
 |
Hallo,
ich wende im Rahmen meiner Abschlussarbeit fmincon Funktion für ein Multikriterielles Optimierungsproblem an und komme auch soweit ganz gut klar. Allerdings habe ich heute festgestellt, dass mein Problem wohl nicht gut skaliert ist/war, wodurch teilweise keine zulässige Lösung gefunden wurde. Bei den vorhandenen Ungleichheitsrestriktionen können in den Iterationen beispielsweise bei mir momentan naturgemäß noch extrem kleine Werte unter 1 herauskommen, während sich die Zielfunktion im Bereich von ca. 1000 bewegt.
Oder soll/kann man diese Skalierung nur bei der Initiallösung mit den Startwerten vernünftig wählt?
Kennt jemand entsprechende Literatur, im Idealfall mit zusammengestellten Regeln, wie man Optimierungsprobleme skaliert? Habe dazu bisher keine brauchbaren Bücher gefunden.
Gruß Marc
|
|
|
|
| Anfänger10000 |
Gast
|
 |
Beiträge: ---
|
 |
|
 |
Anmeldedatum: ---
|
 |
|
 |
Wohnort: ---
|
 |
|
 |
Version: ---
|
 |
|
|
 |
|
Verfasst am: 16.09.2014, 16:09
Titel: Genetischer Algorithmus mit Mathlab
|
 |
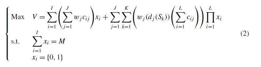
Hallo Leute,
ich bin ganz neu hier und habe noch nie Mathlab benutzt. Im Zuge eines Papers habe ich folgende Zielfunktion mit Nebenbedingung (angehängt). Ich wäre wirklich sehr dankbar für einen Experten der mir kurz sagen kann wieviel Aufwand es ist diese Funktion in Mathlab mithilfe eines Genetischen Algorithmus zu lösen.
Danke schonmal
| Beschreibung: |
|
 Download |
| Dateiname: |
Zielfunktion und Nebendbedingung.jpg |
| Dateigröße: |
17.04 KB |
| Heruntergeladen: |
963 mal |
|
|
|
|
| Yoda |

Forum-Newbie
|
 |
Beiträge: 1
|
 |
|
 |
Anmeldedatum: 16.10.14
|
 |
|
 |
Wohnort: Sachsen
|
 |
|
 |
Version: ---
|
 |
|
|
 |
|
Verfasst am: 16.10.2014, 09:47
Titel: Fehler in Optimset
|
 |
Hallo
ich bin neu in diesem Forum und habe auch noch wenig Erfahrung mit MATLAB.
Aktuell versuche ich Optimierungen mit optimtool durchzuführen, allerdings tritt bei mir stets ein Fehler auf. Die Fehlermeldung ist folgende:
Error in optimset (line 235)
options.(Names{j,:}) = checkfield(Names{j,:},arg,optimtbx);
Mir wurde unterdessen gesagt, dass das Problem darin liegen kann, das ich nicht parallel rechnen kann und das ändern muss, allerings habe ich noch nicht herausgefunden, wir das geht, da ich die Option "Useparallel" nirgends gefunden habe.
Könnte mir bitte jemand sagen, wie ich diese Option ändern kann bzw. ob der Fehler auch wo anders liegen könnte?
Beste Grüße
_________________
Tu es, oder tu es nicht. Es gibt kein Versuchen.
|
|
|
|
|
Gehe zu Seite Zurück 1, 2, 3, 4, 5
|
|
Einstellungen und Berechtigungen
|
|
Du kannst Beiträge in dieses Forum schreiben. Du kannst auf Beiträge in diesem Forum antworten. Du kannst deine Beiträge in diesem Forum nicht bearbeiten. Du kannst deine Beiträge in diesem Forum nicht löschen. Du kannst an Umfragen in diesem Forum nicht mitmachen. Du kannst Dateien in diesem Forum posten Du kannst Dateien in diesem Forum herunterladen
|
|
Impressum
| Nutzungsbedingungen
| Datenschutz
| FAQ
| RSS
Hosted by:
Copyright © 2007 - 2026
goMatlab.de | Dies ist keine offizielle Website der Firma The Mathworks
MATLAB, Simulink, Stateflow, Handle Graphics, Real-Time Workshop, SimBiology, SimHydraulics, SimEvents, and xPC TargetBox are registered trademarks and The MathWorks, the L-shaped membrane logo, and Embedded MATLAB are trademarks of The MathWorks, Inc.
|
|