|
|
| bd3m |

Forum-Newbie
|
 |
Beiträge: 1
|
 |
|
 |
Anmeldedatum: 26.08.14
|
 |
|
 |
Wohnort: ---
|
 |
|
 |
Version: ---
|
 |
|
|
 |
|
Verfasst am: 26.08.2014, 13:01
Titel: 3D Plot Problem
|
 |
Hey,
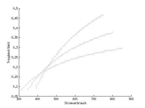
ich möchte gerne verschiedene Server simulieren, die verschieden viel Strom verbrauchen über verschiedene Auslastungsstufen und bei jeder Auslastungsstufe möchte ich den Troughput/Watt berechnen, was auch die Funktion bzw. der Graph darstellen soll.
bisher habe ich:
und herauskommen tut das: Das ist schon ganz ok, aber bekomme ich da irgendwie noch die verschiedenen Auslastungen herein, im code 'a'.
Vielen Dank
| Beschreibung: |
|
 Download |
| Dateiname: |
untitled.jpg |
| Dateigröße: |
15.78 KB |
| Heruntergeladen: |
522 mal |
|
|
|
|
|
|
|
|
|
Einstellungen und Berechtigungen
|
|
Du kannst Beiträge in dieses Forum schreiben. Du kannst auf Beiträge in diesem Forum antworten. Du kannst deine Beiträge in diesem Forum nicht bearbeiten. Du kannst deine Beiträge in diesem Forum nicht löschen. Du kannst an Umfragen in diesem Forum nicht mitmachen. Du kannst Dateien in diesem Forum posten Du kannst Dateien in diesem Forum herunterladen
|
|
Impressum
| Nutzungsbedingungen
| Datenschutz
| FAQ
| RSS
Hosted by:
Copyright © 2007 - 2026
goMatlab.de | Dies ist keine offizielle Website der Firma The Mathworks
MATLAB, Simulink, Stateflow, Handle Graphics, Real-Time Workshop, SimBiology, SimHydraulics, SimEvents, and xPC TargetBox are registered trademarks and The MathWorks, the L-shaped membrane logo, and Embedded MATLAB are trademarks of The MathWorks, Inc.
|
|