|
|
|
Abschnittsweise definierte Funktion |
|
| bugmenot |

Forum-Anfänger
|
 |
Beiträge: 34
|
 |
|
 |
Anmeldedatum: 16.10.08
|
 |
|
 |
Wohnort: ---
|
 |
|
 |
Version: ---
|
 |
|
|
 |
|
Verfasst am: 07.06.2016, 16:36
Titel: Abschnittsweise definierte Funktion
|
 |
Hi Leute,
ich würde gerne wissen wie ich den folgenden Text zum laufen bekomme:
x = 0: 1: 2085;
y(x>=0 & x<50) = 39,2*x;
y(x>=50 & x<90) = 152;
y(x>=90 & x<125) = 386,86*x^2;
y(x>=125 & x<155) = 471;
y(x>=155 & x<2055) = 96,81;
y(x>=2055 &x<2085) = 55,57;
y(x>= 2080) = 0
plot(x,y);
Soll heißen, dass die Funktion im ersten Abschnitt linear steigt, im 2. Abschnitt konstant ist und im dritten Abschnitt quadratisch verläuft usw. Das ganze soll ein Momentenverlauf werden, falls z.B. zwischen 2 Abschnitten ein Sprung auftritt und im Plot nicht verbunden wird würde ich gerne dazu noch die Möglichkeit haben. LG
|
|
|
|
|
|
| Harald |

Forum-Meister
|
 |
Beiträge: 24.502
|
 |
|
 |
Anmeldedatum: 26.03.09
|
 |
|
 |
Wohnort: Nähe München
|
 |
|
 |
Version: ab 2017b
|
 |
|
|
 |
|
Verfasst am: 07.06.2016, 17:23
Titel:
|
 |
Hallo,
sieht doch ganz gut aus.
Probleme, die ich sehe:
- Dezimaltrennzeichen in MATLAB ist Punkt, nicht Komma.
- Wenn du auf der linken Seite nach x filterst, solltest du das auch auf der rechten Seite tun, z.B.
- Die letzten beiden Intervallgrenzen passen nicht zusammen.
Grüße,
Harald
|
|
|
|
| bugmenot |
Themenstarter

Forum-Anfänger
|
 |
Beiträge: 34
|
 |
|
 |
Anmeldedatum: 16.10.08
|
 |
|
 |
Wohnort: ---
|
 |
|
 |
Version: ---
|
 |
|
|
 |
|
Verfasst am: 10.06.2016, 11:29
Titel:
|
 |
| |
 |
|
Danke für die Antwort Ich hab es jetzt so umgeschrieben:
x = 0: 1: 2085;
y(x>=0 & x<50) = -0.0392*x(x>=0 & x<50);
y(x>=50 & x<90) = -0.152*x(x>=50 & x<90);
y(x>=90 & x<125) = -0.23486*x(x>=90 & x<125);
y(x>=125 & x<155) = -0.08414*x(x>=125 & x<155);
y(x>=155 & x<2055) = 0.37419*x(x>=155 & x<2055);
y(x>=2055 & x<2085) = 0.04114*x(x>=2055 & x<2085);
y(x>=2085) = 0
plot(x,y);
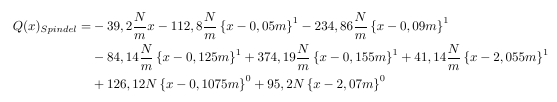
Das Problem ist, dass die Funktion noch nicht so ganz aussieht wie sie aussehen sollte. Der Querkraftverlauf ist mit Föppelklammern dargestellt, das heißt erst wenn der x-Wert in der Klammer größer wird als das, was davon abgezogen wird, dann wird die Klammer ungleich Null. Also noch einmal als Beispiel: Q(0,06)=-39,2*0,06-112,8*0,01
Wie kann ich das jetzt noch realisieren?
Und noch als kleine Nebenfrage: Wie sollte ich die Achsen am besten bezeichnen? Laut Wikipedia ist x[mm] falsch, es ist zwar weit verbreitet und ich hätte damit sicher keine Probleme, aber ich würde es gerne direkt richtig machen.
| Beschreibung: |
|
 Download |
| Dateiname: |
Unbenannt2.PNG |
| Dateigröße: |
9.18 KB |
| Heruntergeladen: |
766 mal |
| Beschreibung: |
|
 Download |
| Dateiname: |
Unbenannt.PNG |
| Dateigröße: |
11.61 KB |
| Heruntergeladen: |
669 mal |
|
|
|
|
| bugmenot |
Themenstarter

Forum-Anfänger
|
 |
Beiträge: 34
|
 |
|
 |
Anmeldedatum: 16.10.08
|
 |
|
 |
Wohnort: ---
|
 |
|
 |
Version: ---
|
 |
|
|
 |
|
Verfasst am: 10.06.2016, 16:19
Titel:
|
 |
Bzw. kann mir jemand sagen wie genau diese Abschnittsweise Definition in Matlab funktioniert? Für mich sieht das jetzt so aus als würde es, sobald der neue Abschnitt erreicht wird den x-Wert weiter hochzählen, statt ihn wieder von 0 beginnen zu lassen, das ist das erste Problem. Das andere ist, dass die Funktion aus dem ersten Abschnitt im neuen Abschnitt fortgesetzt werden muss (und zwar mit dem alten x)... Wenn ihr ein Video kennt wo das gut erklärt wird oder so wäre ich dankbar, ich muss nämlich ein Projekt an der Uni machen für das ich 3 neue Programme lernen muss und das ist gerade ziemlich viel auf einmal
|
|
|
|
| Harald |

Forum-Meister
|
 |
Beiträge: 24.502
|
 |
|
 |
Anmeldedatum: 26.03.09
|
 |
|
 |
Wohnort: Nähe München
|
 |
|
 |
Version: ab 2017b
|
 |
|
|
 |
|
Verfasst am: 10.06.2016, 16:36
Titel:
|
 |
Hallo,
das naheliegendste wäre doch, die Funktionalität von { }^1 in MATLAB umzusetzen? Ggf. eine kleine Funktion dafür schreiben. Dann kannst du das genauso in MATLAB hinschreiben wie die Formel gegeben ist.
Grüße,
Harald
|
|
|
|
|
|
|
Einstellungen und Berechtigungen
|
|
Du kannst Beiträge in dieses Forum schreiben. Du kannst auf Beiträge in diesem Forum antworten. Du kannst deine Beiträge in diesem Forum nicht bearbeiten. Du kannst deine Beiträge in diesem Forum nicht löschen. Du kannst an Umfragen in diesem Forum nicht mitmachen. Du kannst Dateien in diesem Forum posten Du kannst Dateien in diesem Forum herunterladen
|
|
Impressum
| Nutzungsbedingungen
| Datenschutz
| FAQ
| RSS
Hosted by:
Copyright © 2007 - 2026
goMatlab.de | Dies ist keine offizielle Website der Firma The Mathworks
MATLAB, Simulink, Stateflow, Handle Graphics, Real-Time Workshop, SimBiology, SimHydraulics, SimEvents, and xPC TargetBox are registered trademarks and The MathWorks, the L-shaped membrane logo, and Embedded MATLAB are trademarks of The MathWorks, Inc.
|
|