|
|
|
Berechnung nach Betragsoptimum |
|
| Kiddy |

Forum-Newbie
|
 |
Beiträge: 3
|
 |
|
 |
Anmeldedatum: 28.09.13
|
 |
|
 |
Wohnort: ---
|
 |
|
 |
Version: ---
|
 |
|
|
 |
|
Verfasst am: 28.09.2013, 12:45
Titel: Berechnung nach Betragsoptimum
|
 |
| |
 |
|
Hallo Zusammen,
ich bin noch ganz neu hier im Forum und habe ein akutes Problem.
Ich absolviere ein Fernstudium als Wirt. Ing. und komme eigentlich auch aus der BWL Ecke. Meine letzte offene Klausur ist nun ausgerechnet Regelungstechnik, welche mir auch starke Kopfschmerzen bereitet. Zu allem Übel ist mein sog. "Betreuer" ständig out of order oder gibt mir nur wertvolle Hinweise auf meine Kontrollaufgaben wie: "falsch" oder "richtig", keinerlei Hinweise zum Verständnis der Aufgaben...Ich weiß überhaupt nicht was ich hier eigentlich tue...
Ich habe hier eine konkrete Aufgabe (welche nicht benotet wird, ich will sie aber verstehen) und mein Tutor drückt sich um die Erklärung, wahrscheinlich kommt diese in der Klausur vor. (Im Anhang)
Kann mir jemand erklären wie ich mit der Gleichung von Fs auf die Art der Regelstrecke schließe? (P-I oder PT1 oder wie auch immer?)
Und wie kann ich unter a) fragen warum der Regler nicht einstellbar ist und gleichzeitig unter b) verlangen diesen einzustellen?
Ich bin für jede Hilfe dankbar
Beste Grüße!
Kiddy
| Beschreibung: |
|
 Download |
| Dateiname: |
Aufgabe 1.PNG |
| Dateigröße: |
35.97 KB |
| Heruntergeladen: |
1490 mal |
|
|
|
|
|
|
| Sp0b1e |

Forum-Anfänger
|
 |
Beiträge: 26
|
 |
|
 |
Anmeldedatum: 26.09.13
|
 |
|
 |
Wohnort: ---
|
 |
|
 |
Version: 2011a und 2013a
|
 |
|
|
 |
|
Verfasst am: 28.09.2013, 12:59
Titel:
|
 |
| |
 |
|
Hallo Kiddy,
zur ersten Frage:
Zum einen muss man die Übertragungsfunktionen der einfachten Regelkreiselemente (P,I,PI,PT1,Pt2etc) kennen. Wenn man diese kennt, kann man durch "Auftrennen" der Übertragungsfuntion, komplexe Übertragungsfunktionen auf einfache Übertragungsfunktionen zurückführen.
zur zweiten Frage:
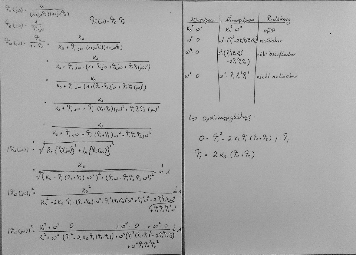
a) der Grundgedanke der Reglerauslegung nach dem Betragsoptimums ist es ja, dass die Regelgröße schnell den Sollwert erreicht. Diese kurze Anstiegszeit entspricht im Frequenzbereich einer großen Bandbreite des Frequenzganges. Ideales verhalten liegt dann vor, wenn gilt: |F(jw)|=1.
Dies ist in der Praxis aufgrund von Verzögerungsverhalten nicht realisierbar und ist somit nur näherungsweise erfüllbar. Dieses Verhalten erlangt man, wenn an der Stelle w=0 möglichst viele Ableitungen von |F(jw)| gleich Null werden bzw. wenn Zähler und Nennerpolynom von |F(jw)| möglichst viele gleiche Koeffizienten aufweisen. (siehe mein Beitrag zur Frage von Eddy2k).
b) Hier ist die Auslegung des Reglers für annäherd betragsoptimales Verhalten gefragt. (siehe Auslegungsregel aus a)
Du kannst ja mal versuchen auf ein geeignetes T0 zu kommen und nochmal hier posten. Kann dein Ergebnis dann gerne mal überprüfen!
Beste Grüße
|
|
|
|
| Kiddy |
Themenstarter

Forum-Newbie
|
 |
Beiträge: 3
|
 |
|
 |
Anmeldedatum: 28.09.13
|
 |
|
 |
Wohnort: ---
|
 |
|
 |
Version: ---
|
 |
|
|
 |
|
Verfasst am: 28.09.2013, 14:00
Titel:
|
 |
Hallo Sp0b1e,
das ging ja schnell! Danke erstmal für die Antwort.
Also hätte ich hier ein zweifaches PT1 Glied?
zu a) Okay, der Ist Wert soll dem Soll Wert möglichst schnell und genau folgen, soweit so gut. Ich habe in meinem Heft gelesen das man lediglich dann keinen I Regler vor eine Regelstrecke setzen soll, wenn bereits ein I-Anteil in der Strecke vorhanden ist. (Was auch immer das genau in der Praxis bedeutet) Mit einem doppelten PT1 Glied habe ich doch dann keine Probleme oder?
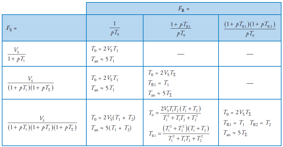
zu b) Ich habe für To einen Tabelle gefunden, in welcher die Berechnung von To gegeben wird. Allerdings verstehe ich nicht ganz welche Formel ich nun nehmen soll, das ist wohl abhängig von FR, welches mir ja nicht gegeben wurde. Welches To wählt man hier?
Danke für die Mühe
Gruß Kiddy!
| Beschreibung: |
|
 Download |
| Dateiname: |
Tabelle+.PNG |
| Dateigröße: |
42.17 KB |
| Heruntergeladen: |
1449 mal |
|
|
|
|
| Sp0b1e |

Forum-Anfänger
|
 |
Beiträge: 26
|
 |
|
 |
Anmeldedatum: 26.09.13
|
 |
|
 |
Wohnort: ---
|
 |
|
 |
Version: 2011a und 2013a
|
 |
|
|
 |
|
Verfasst am: 28.09.2013, 16:20
Titel:
|
 |
| |
 |
|
Ja in deinem Beispiel sind das 2 hintereinander geschaltete PT1-Glieder.
zu a) Wenn man bereits ein Strecke mit Ausgleich hat, sprich ein Strecke mit integrierendem Anteil, braucht man keine I-Anteil im Regler um einer bleibenden Regelabweichung vorzubeugen. Möchte man aber auch keinen Geschwindigkeits- bzw. Beschleunigungsfeher in der Regelgröße haben, so braucht man 2 bzw. 3 Integratoren im Regelkreis. Also ist das mit dem sollte man vermeiden nicht ganz richtig. Und du hast auch mit dem PT2 (Reihenschaltung aus 2 PT1-Gliedern) keine Probleme.
zu b) Diese Tabelle kenne ich so nicht. Ich mag solche Tabellen ohnehin nicht, wenn man nicht genau weiß wie die Berechnungsvorschriften in solchen Formelsammlungen zustande kommen. Ich bekomme auch etwas andere Eregbnisse als in der Tabelle eingetragen sind. Aber ich versuche mal die Tabelle zu deuten und hänge dir mal meinen Rechenweg an, vielleicht kannst du den ja mal versuchen nachzuvollziehen. Also ja die Tabelle ist abhängig von der Wahl des Reglers. In deinem Fall ist doch der I-Regler gegeben. Das wäre die Übertragungsfunktion 1/(jw*T0) oder in deinem Fall 1/(p*T0).
Beste Grüße
| Beschreibung: |
|
 Download |
| Dateiname: |
DSC_0166.jpg |
| Dateigröße: |
300.63 KB |
| Heruntergeladen: |
1458 mal |
|
|
|
|
| Kiddy |
Themenstarter

Forum-Newbie
|
 |
Beiträge: 3
|
 |
|
 |
Anmeldedatum: 28.09.13
|
 |
|
 |
Wohnort: ---
|
 |
|
 |
Version: ---
|
 |
|
|
 |
|
Verfasst am: 29.09.2013, 11:21
Titel:
|
 |
Hallo Sp0b1e
Danke dir nochmal für die Mühe. Also langsam kommt etwas Licht ins Dunkel:) Ich habe jetzt mit meiner Tabelle T0 berechnet und meine Ergebnisse sollten dann auch richtig sein. Was ich jetzt leider immer noch nicht begriffen habe ist die Frage nach 1.a) Wieso kann ich den Regler nicht betragsoptimal einstellen?
Ich habe keine I-Glieder in meiner Strecke, was ja erstmal laut meinem Tutor ganz gut sein soll... Ich würde jetzt nur noch sagen das mein Regler bei sprunghafter Änderung der Istgröße zu langsam reagiert-aber soll das die Lösung sein?
Beste Grüße
|
|
|
|
| Sp0b1e |

Forum-Anfänger
|
 |
Beiträge: 26
|
 |
|
 |
Anmeldedatum: 26.09.13
|
 |
|
 |
Wohnort: ---
|
 |
|
 |
Version: 2011a und 2013a
|
 |
|
|
 |
|
Verfasst am: 29.09.2013, 12:58
Titel:
|
 |
| |
 |
|
Hallo Kiddy,
schön das ich dir schon mal etwas weiterhelfen konnte.
Zu deiner letzten Frage:
Du kannst den Regler nicht betragsoptimal einstellen, da du ein gewisses Verzögerungsverhalten in der Dynamik deiner Regelstrecke hast. Das ist in der Regel immer so. Eine betragsoptimale Einstellung wäre ja wenn gilt: |F(jw)|=1. Das heist der Amplitudengang im Bodediagramm bleibt bis w-> unendlich konstant. Dies ist aber nicht realisierbar und man kann somit |F(jw)| nur ungefähr in Richtung 1 bekommen, also nur annähernd betragsoptimal einstellen. So lautete ja dann auch Aufgabenteil b.
Was ich jetzt nicht so ganz verstehe ist warum ein I-Glied in der Strecke schlecht sein soll? Es kann durchaus sein, dass die Einregelzeit nicht die schnellst ist.
Ich hab dir auch noch mal die Darstellung im Bode-Diagramm angehängt. Die blaue Linie ist hier der nach meiner Rechnung betragtsoptimale Regler. Die cyan-farbene Kurve ist der Regler nach deinen Einstellregeln. Hier ist durchaus eine Abweichung von |F(jw)| zu sehen (ich hab mal nen DataCurser drangepackt). Auchtung hier ist der log(|F(jw)|) dargestellt!!!
| Beschreibung: |
|
 Download |
| Dateiname: |
Unbenannt.PNG |
| Dateigröße: |
24.53 KB |
| Heruntergeladen: |
1368 mal |
|
|
|
|
|
|
|
Einstellungen und Berechtigungen
|
|
Du kannst Beiträge in dieses Forum schreiben. Du kannst auf Beiträge in diesem Forum antworten. Du kannst deine Beiträge in diesem Forum nicht bearbeiten. Du kannst deine Beiträge in diesem Forum nicht löschen. Du kannst an Umfragen in diesem Forum nicht mitmachen. Du kannst Dateien in diesem Forum posten Du kannst Dateien in diesem Forum herunterladen
|
|
Impressum
| Nutzungsbedingungen
| Datenschutz
| FAQ
| RSS
Hosted by:
Copyright © 2007 - 2026
goMatlab.de | Dies ist keine offizielle Website der Firma The Mathworks
MATLAB, Simulink, Stateflow, Handle Graphics, Real-Time Workshop, SimBiology, SimHydraulics, SimEvents, and xPC TargetBox are registered trademarks and The MathWorks, the L-shaped membrane logo, and Embedded MATLAB are trademarks of The MathWorks, Inc.
|
|