|
|
|
Bodediagramm einer Übertragungsfunktion |
|
| jamal |

Forum-Newbie
|
 |
Beiträge: 6
|
 |
|
 |
Anmeldedatum: 26.04.08
|
 |
|
 |
Wohnort: ---
|
 |
|
 |
Version: ---
|
 |
|
|
 |
|
Verfasst am: 20.05.2008, 22:31
Titel: Bodediagramm einer Übertragungsfunktion
|
 |
Hallo,
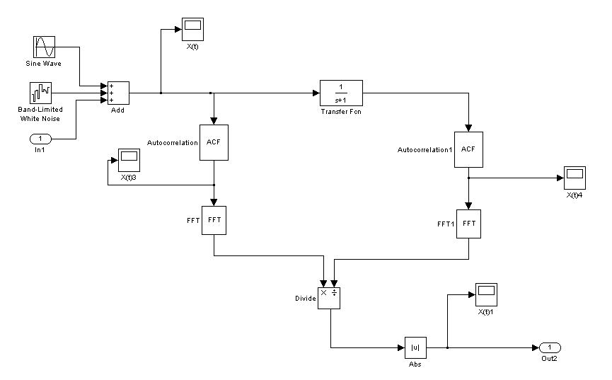
ich habe leider mein Prob. noch nicht gelöst. ich muss noch zu diesem Rauschsignal am Eingang noch eine Autokorrelationsfunktion verbinden. Mein System ist in (ACF..JPG) zum download.
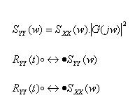
Die Formel zur erklärung sind in (Formel.JPG) zum download.
Ich muss am Ausgang ein Bodedigramm für Betrag von G(jw)Quadrat kriegen.
das Prob. nachdem Simulation kriege ich ein Leer Plot(das Fenster des Bodediagramms). ich weiß nicht auch vielleicht habe ich eine falsche Blöcke.... gewählt, oder fällt was bei der Parametrierung.
Habt ihr eine Lösung oder Ideen dafür?? wenn es auch eine andere Formulierung gibt,ist auch gut.
Danke schön im Voraus.
| Beschreibung: |
|
 Download |
| Dateiname: |
Formel.JPG |
| Dateigröße: |
5.13 KB |
| Heruntergeladen: |
1492 mal |
| Beschreibung: |
|
 Download |
| Dateiname: |
ACF..JPG |
| Dateigröße: |
26.06 KB |
| Heruntergeladen: |
1472 mal |
|
|
|
|
|
|
|
|
|
Einstellungen und Berechtigungen
|
|
Du kannst Beiträge in dieses Forum schreiben. Du kannst auf Beiträge in diesem Forum antworten. Du kannst deine Beiträge in diesem Forum nicht bearbeiten. Du kannst deine Beiträge in diesem Forum nicht löschen. Du kannst an Umfragen in diesem Forum nicht mitmachen. Du kannst Dateien in diesem Forum posten Du kannst Dateien in diesem Forum herunterladen
|
|
Impressum
| Nutzungsbedingungen
| Datenschutz
| FAQ
| RSS
Hosted by:
Copyright © 2007 - 2026
goMatlab.de | Dies ist keine offizielle Website der Firma The Mathworks
MATLAB, Simulink, Stateflow, Handle Graphics, Real-Time Workshop, SimBiology, SimHydraulics, SimEvents, and xPC TargetBox are registered trademarks and The MathWorks, the L-shaped membrane logo, and Embedded MATLAB are trademarks of The MathWorks, Inc.
|
|