|
|
|
Contour Plot mit bestimmten Farben erstellen |
|
| Heisenberg17 |

Forum-Newbie
|
 |
Beiträge: 1
|
 |
|
 |
Anmeldedatum: 20.09.17
|
 |
|
 |
Wohnort: ---
|
 |
|
 |
Version: ---
|
 |
|
|
 |
|
Verfasst am: 21.09.2017, 08:28
Titel: Contour Plot mit bestimmten Farben erstellen
|
 |
| |
 |
|
Hallo,
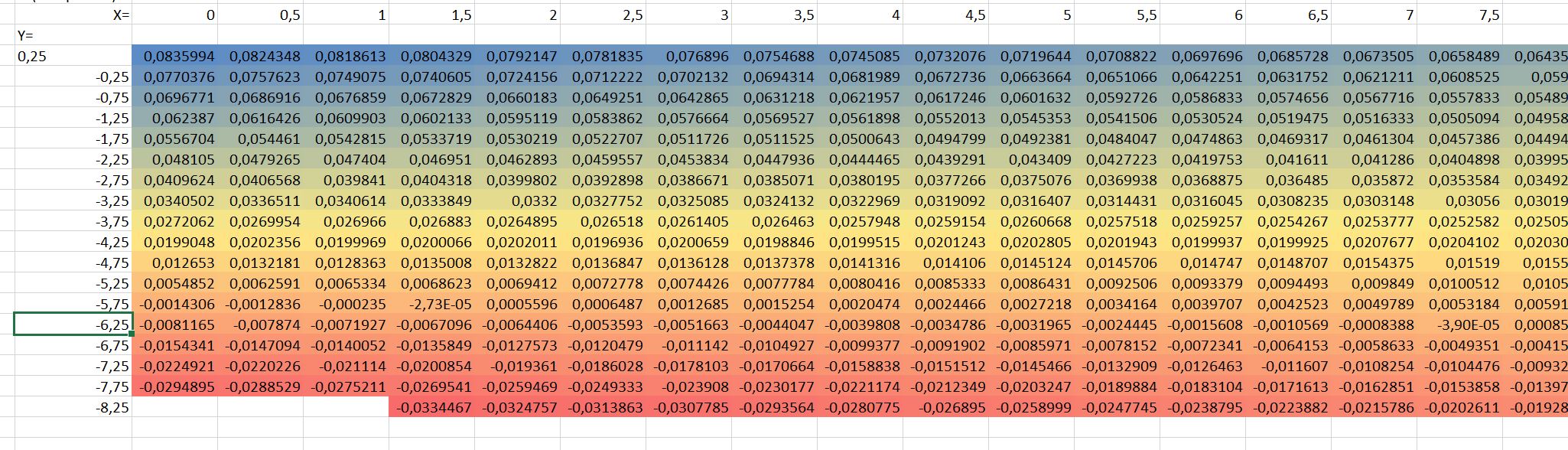
ich bin ein Anfänger in Matlab. Bis jetzt nutze ich das Programm nur in der Uni um schöne Plots zu erstellen. Ich importiere einfach Excel Tabellen und plotte bestimmte Spalten und Zeilen. Klappt alles wunderbar mit dem Assistenten und den vorgegeben Plots.
Ich wollte jetzt einen etwas komplizierten Plot erstellen, aber es klappt nicht irgendwie. Ich habe auf der X-Achse 90 Werte und auf der Y-Achse 11 Werte. Also ein Rechteck, genauer ein Balken. Ich wollte innerhalb diesem Balken die Verschiebung visualiesieren, z.b roter Bereich große Verschiebung und blauer Bereich wenig Verschiebung.
Ich dachte ich importiere wie in den einfachen Plots die Daten und plotte das, aber weit gefehlt. Ich kriege inmer ein Quader mit unrealistischer Verteilung. In der Excel Datei sieht man schön wie das eigentlich sein sollte von der Verteilung. Sowas kriege ich nicht mal im Ansatz in Matlab hin leider.
Meine Frage wäre, kann man ohne mit richtigen Vode zu arbeiten nicht einfach so einen Plot erstellen?
| Beschreibung: |
|
 Download |
| Dateiname: |
Verteilung.JPG |
| Dateigröße: |
383.41 KB |
| Heruntergeladen: |
474 mal |
|
|
|
|
|
|
|
|
|
Einstellungen und Berechtigungen
|
|
Du kannst Beiträge in dieses Forum schreiben. Du kannst auf Beiträge in diesem Forum antworten. Du kannst deine Beiträge in diesem Forum nicht bearbeiten. Du kannst deine Beiträge in diesem Forum nicht löschen. Du kannst an Umfragen in diesem Forum nicht mitmachen. Du kannst Dateien in diesem Forum posten Du kannst Dateien in diesem Forum herunterladen
|
|
Impressum
| Nutzungsbedingungen
| Datenschutz
| FAQ
| RSS
Hosted by:
Copyright © 2007 - 2026
goMatlab.de | Dies ist keine offizielle Website der Firma The Mathworks
MATLAB, Simulink, Stateflow, Handle Graphics, Real-Time Workshop, SimBiology, SimHydraulics, SimEvents, and xPC TargetBox are registered trademarks and The MathWorks, the L-shaped membrane logo, and Embedded MATLAB are trademarks of The MathWorks, Inc.
|
|