|
|
|
Custom Equation der cft liefert sehr schlechte Ergebnisse |
|
| mogrie |

Forum-Newbie
|
 |
Beiträge: 3
|
 |
|
 |
Anmeldedatum: 03.03.17
|
 |
|
 |
Wohnort: ---
|
 |
|
 |
Version: ---
|
 |
|
|
 |
|
Verfasst am: 03.03.2017, 15:11
Titel: Custom Equation der cft liefert sehr schlechte Ergebnisse
|
 |
| |
 |
|
Hallo zusammen,
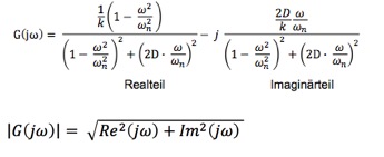
ich bin gerade dabei, mich für eine Studienarbeit in die Curve Fitting Toolbox einzuarbeiten. Ziel dabei ist es, Schwingungsdaten eines realen Experiments zu laden und mittels Matlab zu analysieren. Diese Daten bilden die Nachgiebigkeit D über der Kreisfrequenz w ab und können mit der Übertragungsfunktion
sqrt(((1/k*(1-w^2/wn^2))/((1-w^2/wn^2)^2+(2*D*w/wn)^2))^2+((2*D*w/k/k)/((1-w^2/wn^2)^2+(2*D*w/wn)^2))²)
beschrieben werden. Die Gleichung ist in 'schön' nochmal in dem angefügten Bild zu sehen. Es sollen die Parameter 'Dämpfungsgrad D', 'Eigenkreisfrequenz wn' und 'Federsteifigkeit k' ermittelt werden.
Für meinen ersten Test habe ich in Excel mit dieser Gleichung 'perfekte' Punkte erstellt und in Matlab geladen. Wenn ich nun versuche, diese Punkte mit der obigen Gleichung über Custom Equation zu fitten, bekomme ich ein komplett falsches Ergebnis, was ihr auf auf dem beigefügten Bild sehen könnt. Die Gleichungen selber habe ich mehrmals sowohl in Excel, als auch in der Toolbox überprüft und auch schon versucht, mit den FitOptions ein wenig herumzuspielen. Leider ohne Erfolg.
Ich würde mich sehr freuen, wenn jemand eine Idee hat, was ich falsch gemacht habe. Oder könnte diese Gleichung zu kompliziert für Matlab sein?
Ich bedanke mich jetzt schonmal für alle Antworten!
Viele Grüße,
Moritz
| Beschreibung: |
| Nach dieser Gleichung soll gefittet werden. |
|
 Download |
| Dateiname: |
Picture2.jpg |
| Dateigröße: |
12.68 KB |
| Heruntergeladen: |
739 mal |
| Beschreibung: |
|
 Download |
| Dateiname: |
Picture1.jpeg |
| Dateigröße: |
466.11 KB |
| Heruntergeladen: |
747 mal |
|
|
|
|
|
|
| Harald |

Forum-Meister
|
 |
Beiträge: 24.502
|
 |
|
 |
Anmeldedatum: 26.03.09
|
 |
|
 |
Wohnort: Nähe München
|
 |
|
 |
Version: ab 2017b
|
 |
|
|
 |
|
Verfasst am: 03.03.2017, 15:25
Titel:
|
 |
Hallo,
oft ist der Grund, dass die Startparameter nicht ausreichend gut sind.
Du kennst ja die tatsächlichen Parameter?
Hast du mal versucht, diese als Startwerte anzugeben?
Grüße,
Harald
|
|
|
|
| mogrie |
Themenstarter

Forum-Newbie
|
 |
Beiträge: 3
|
 |
|
 |
Anmeldedatum: 03.03.17
|
 |
|
 |
Wohnort: ---
|
 |
|
 |
Version: ---
|
 |
|
|
 |
|
Verfasst am: 03.03.2017, 15:47
Titel:
|
 |
Hallo Harald,
danke für deine schnelle Antwort. Ich habe das so mal versucht. Jetzt stimmen die Parameterwerte im Results-Fenster, aber graphisch passt die Kurve noch nicht wirklich. Zumindest ist aber mal der Peak an der richtigen Stelle, auch wenn er trotzdem noch nicht passt. Das wäre ja aber grundsätzlich egal, solange ich die richtigen Parameterwerte bekomme. Allerdings kann das ja nicht zweckdienlich sein, wenn ich die Startwerte so genau setzen muss. Die Eigenkreisfrequenz lässt sich anhand der Punkte zwar einigermaßen genau bestimmen, bei den anderen beiden Parametern ist das aber leider nicht so einfach. Aber selbst wenn ich wn als Startwert auf 45 setze (exakter Wert ist 44,72) bekomme ich nicht das richtige Ergebnis angezeigt
Gruß,
Moritz
| Beschreibung: |
| Als Startwerte sind hier die exakten Werte eingetragen |
|
 Download |
| Dateiname: |
Picture1.jpeg |
| Dateigröße: |
458.27 KB |
| Heruntergeladen: |
732 mal |
|
|
|
|
| Harald |

Forum-Meister
|
 |
Beiträge: 24.502
|
 |
|
 |
Anmeldedatum: 26.03.09
|
 |
|
 |
Wohnort: Nähe München
|
 |
|
 |
Version: ab 2017b
|
 |
|
|
 |
|
Verfasst am: 03.03.2017, 16:12
Titel:
|
 |
Hallo,
das "Abstürzen" der Kurve in der Mitte kann ich mir nur durch einen Eingabefehler in der Formel erklären.
Wenn das Problem gelöst ist, dann vielleicht auch die Empfindlichkeit bzgl. der Startparameter.
Grüße,
Harald
|
|
|
|
| mogrie |
Themenstarter

Forum-Newbie
|
 |
Beiträge: 3
|
 |
|
 |
Anmeldedatum: 03.03.17
|
 |
|
 |
Wohnort: ---
|
 |
|
 |
Version: ---
|
 |
|
|
 |
|
Verfasst am: 03.03.2017, 17:59
Titel:
|
 |
Hallo Harald,
den Fehler in der Formel habe ich bis jetzt nicht gefunden, aber das sollte ja dann kein Problem sein. Danke auf jeden Fall schonmal dafür! Das Ergebnis sieht ja schon viel besser aus als am Anfang. Ich nehme an, die Empfindlichkeit, von der du sprichst, stellt man in den Fit Options ein? Hier habe ich nämlich schon jeden Wert verstellt, den ich gefunden habe... Die Kurve ändert sich dabei eigentlich kaum bis garnicht.
Viele Grüße,
Moritz
|
|
|
|
|
|
|
Einstellungen und Berechtigungen
|
|
Du kannst Beiträge in dieses Forum schreiben. Du kannst auf Beiträge in diesem Forum antworten. Du kannst deine Beiträge in diesem Forum nicht bearbeiten. Du kannst deine Beiträge in diesem Forum nicht löschen. Du kannst an Umfragen in diesem Forum nicht mitmachen. Du kannst Dateien in diesem Forum posten Du kannst Dateien in diesem Forum herunterladen
|
|
Impressum
| Nutzungsbedingungen
| Datenschutz
| FAQ
| RSS
Hosted by:
Copyright © 2007 - 2026
goMatlab.de | Dies ist keine offizielle Website der Firma The Mathworks
MATLAB, Simulink, Stateflow, Handle Graphics, Real-Time Workshop, SimBiology, SimHydraulics, SimEvents, and xPC TargetBox are registered trademarks and The MathWorks, the L-shaped membrane logo, and Embedded MATLAB are trademarks of The MathWorks, Inc.
|
|