|
|
|
Denksport: Flächeninhalt über Geometrie |
|
| hsv-fan19 |

Forum-Anfänger
|
 |
Beiträge: 12
|
 |
|
 |
Anmeldedatum: 01.04.09
|
 |
|
 |
Wohnort: ---
|
 |
|
 |
Version: ---
|
 |
|
|
 |
|
Verfasst am: 02.04.2009, 12:08
Titel: Denksport: Flächeninhalt über Geometrie
|
 |
| |
 |
|
Also das ist auf jeden Fall ein Denkproblem. Da ich im Matlab Forum schlaue Leute vermute, versuch ichs einfach mal hier nochmal.
Ich beschreibe mal kurz was passiert: Maschine1 produziert mit der Losgröße L1 (das bedeutet, dass sie L1 Teile gleichzeitig fertig und auch nur dann produziert wenn eine komplette Losgröße zur Verfügung steht), wenn sie). Maschine 2 produziert in der Losgröße L2>L1. Zwischen den Maschinen ist ein Lager dessen Lagerbestand aufgezeichnet wird.
Entscheidend ist des weiteren, dass die Bearbeitungszeit pro Stück immer gleich ist auf beiden Maschinen(D.h. z.B. bei einer Losgröße L1=5 ist die Bearbeitungszeit für das los 5 und für L2=12 is die Bearbeitugnszeit 12, d.h. auf jeder Maschine 1 sekunde, minute oder was auch immer.
Für B=x*A mit x als ganzer Zahl ergibt sich eine recht einfache Formel für Berechnung des mittleren Bestands.
siehe Bild1:
zur Erklärung: In diesem Fall ist LosgrößeL2 4 mal so groß wie Losgröße L1. Nach 4*tp is Losgröße L2 erreicht, d.h. das Lager wird sofort leer(da Maschine 2 zu produzieren anfängt). Das heißt der Lagerbestand ist eine infinitisimale Zeit 4*L1 (habe den peak mal eingemal, interessiert aber nicht weiter)
das ganze wird ungleich komplizierter, wenn x keine ganze Zahl ist.
Dann ergibt sich der Verlauf von Bild2, der sich nach einer Einschwingphase periodisch wiederholt (Bild2)
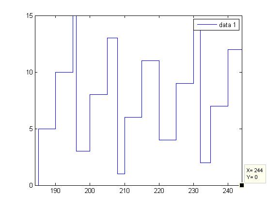
Nach der Einschwingphase sieht das ganze wie in Bild3 zu sehen aus. Hier sieht man, dass der Peak nicht mehr infinitisimal ist. Da die Losgrößen nun keine Vielfachen mehr voneinander sind muss die fertige Losgröße im Lager warten, da Maschine 2 noch am verarbeiten vom vorherigen los ist.
Nun hat sich durch ausprobieren ergeben, dass der mittlere Lagerbestand sich nach der Formel in Bild 4 verhält. Das ist die Formel aus Bild 1, wenn man L2=KGV setzt. D.h. für den einfachen Fall aus Bild1 gilt diese Formel, ich weiß leider gerade nicht, wie ich sie allgemeingültig beweisen kann.
Bild2 und Bild3 zeigen L1=5 und L2=12
Hier mal ein Zyklus nach dem Einschwingen
184 0 0 0 0
185 5 5 0 0
190 10 10 0 0
195 15 15 0 0
196 3 3 0 0
200 8 8 0 0
205 13 13 0 0
208 1 1 0 0
210 6 6 0 0
215 11 11 0 0
220 4 4 0 0
225 9 9 0 0
230 14 14 0 0
232 2 2 0 0
235 7 7 0 0
240 12 12 0 0
244 0 0 0 0
| Beschreibung: |
|
 Download |
| Dateiname: |
Bild4.jpg |
| Dateigröße: |
14.85 KB |
| Heruntergeladen: |
629 mal |
| Beschreibung: |
|
 Download |
| Dateiname: |
bild3.jpg |
| Dateigröße: |
18.1 KB |
| Heruntergeladen: |
676 mal |
| Beschreibung: |
|
 Download |
| Dateiname: |
bild2.jpg |
| Dateigröße: |
37.37 KB |
| Heruntergeladen: |
651 mal |
| Beschreibung: |
|
 Download |
| Dateiname: |
Bild1.jpg |
| Dateigröße: |
65.84 KB |
| Heruntergeladen: |
644 mal |
|
|
|
|
|
|
|
|
|
Einstellungen und Berechtigungen
|
|
Du kannst Beiträge in dieses Forum schreiben. Du kannst auf Beiträge in diesem Forum antworten. Du kannst deine Beiträge in diesem Forum nicht bearbeiten. Du kannst deine Beiträge in diesem Forum nicht löschen. Du kannst an Umfragen in diesem Forum nicht mitmachen. Du kannst Dateien in diesem Forum posten Du kannst Dateien in diesem Forum herunterladen
|
|
Impressum
| Nutzungsbedingungen
| Datenschutz
| FAQ
| RSS
Hosted by:
Copyright © 2007 - 2026
goMatlab.de | Dies ist keine offizielle Website der Firma The Mathworks
MATLAB, Simulink, Stateflow, Handle Graphics, Real-Time Workshop, SimBiology, SimHydraulics, SimEvents, and xPC TargetBox are registered trademarks and The MathWorks, the L-shaped membrane logo, and Embedded MATLAB are trademarks of The MathWorks, Inc.
|
|