|
|
|
Diskrete Diff. Gleichung in Simulink erstellen |
|
| Gast2011 |
Gast
|
 |
Beiträge: ---
|
 |
|
 |
Anmeldedatum: ---
|
 |
|
 |
Wohnort: ---
|
 |
|
 |
Version: ---
|
 |
|
|
 |
|
Verfasst am: 04.05.2011, 14:36
Titel: Diskrete Diff. Gleichung in Simulink erstellen
|
 |
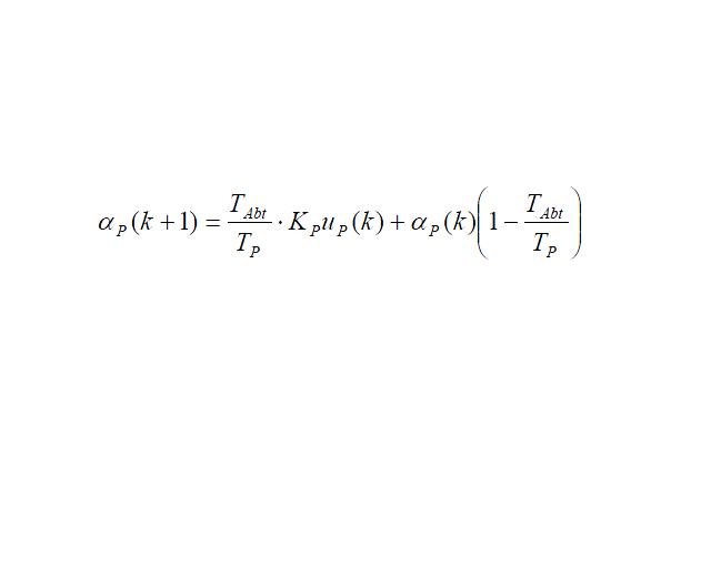
Hallo, brauche Hilfe.
Muss diese Diff Gleichung in Simulink erstellen. Bitte kann mir jemand die Lösung schicken, danke
| Beschreibung: |
| Diskrete Differenzengleichung |
|
 Download |
| Dateiname: |
Unbenannt.JPG |
| Dateigröße: |
10.63 KB |
| Heruntergeladen: |
651 mal |
|
|
|
|
|
|
| DasGewissen |
Gast
|
 |
Beiträge: ---
|
 |
|
 |
Anmeldedatum: ---
|
 |
|
 |
Wohnort: ---
|
 |
|
 |
Version: ---
|
 |
|
|
 |
|
Verfasst am: 08.05.2011, 13:16
Titel:
|
 |
Ich habe die Gleichung erst gestern gelöst. War total einfach.
Hochladen tue ich die Lösung aber nicht, ... Den Grund kannst Du dir ja mal überlegen.... Hat übrigens mit der Art Deines Posts zu tun...
|
|
|
|
|
|
|
Einstellungen und Berechtigungen
|
|
Du kannst Beiträge in dieses Forum schreiben. Du kannst auf Beiträge in diesem Forum antworten. Du kannst deine Beiträge in diesem Forum nicht bearbeiten. Du kannst deine Beiträge in diesem Forum nicht löschen. Du kannst an Umfragen in diesem Forum nicht mitmachen. Du kannst Dateien in diesem Forum posten Du kannst Dateien in diesem Forum herunterladen
|
|
Impressum
| Nutzungsbedingungen
| Datenschutz
| FAQ
| RSS
Hosted by:
Copyright © 2007 - 2026
goMatlab.de | Dies ist keine offizielle Website der Firma The Mathworks
MATLAB, Simulink, Stateflow, Handle Graphics, Real-Time Workshop, SimBiology, SimHydraulics, SimEvents, and xPC TargetBox are registered trademarks and The MathWorks, the L-shaped membrane logo, and Embedded MATLAB are trademarks of The MathWorks, Inc.
|
|