|
|
|
EMG und Rootmeansquare mit Matlab |
|
| Pad |
Gast
|
 |
Beiträge: ---
|
 |
|
 |
Anmeldedatum: ---
|
 |
|
 |
Wohnort: ---
|
 |
|
 |
Version: ---
|
 |
|
|
 |
|
Verfasst am: 01.05.2008, 13:01
Titel: EMG und Rootmeansquare mit Matlab
|
 |
Hallo,
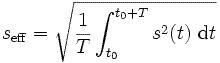
habe eine EMG Messung durchgeführt und muss von diesem EMG ein RMS von einem Fenster von 10 ms berechnen. Ich habe das folgende Programm geschrieben, aber das ergebnis sieht so ähnlich aus wie das ohne die RMS Glättung (siehe Bild) . Aber die Y-Achse hat sich verkleinert.
Ich bin mir nicht sicher ob ich die Formel (siehe Bild) richtig programmiert habe. Nun das Programm :
a=emg.^2;
h=10; %10 ms
x=(l-h-1);
for i=1:x
b=(0.5*(a(i+h) - a(i))); %Integral
k=k+1;
RMS(k)=sqrt(b/h);
end
Kann mit jemand sagen ob ich überhaupt die Formel richtig in matlab geschrieben habe? Und wenn jemand Erfahrung mit EMG und RMS hat kann er mir bitte einige Tip geben.
| Beschreibung: |
|
 Download |
| Dateiname: |
RMS.jpg |
| Dateigröße: |
84.69 KB |
| Heruntergeladen: |
1021 mal |
| Beschreibung: |
|
 Download |
| Dateiname: |
rms1.JPG |
| Dateigröße: |
3.38 KB |
| Heruntergeladen: |
984 mal |
|
|
|
|
|
|
|
|
|
Einstellungen und Berechtigungen
|
|
Du kannst Beiträge in dieses Forum schreiben. Du kannst auf Beiträge in diesem Forum antworten. Du kannst deine Beiträge in diesem Forum nicht bearbeiten. Du kannst deine Beiträge in diesem Forum nicht löschen. Du kannst an Umfragen in diesem Forum nicht mitmachen. Du kannst Dateien in diesem Forum posten Du kannst Dateien in diesem Forum herunterladen
|
|
Impressum
| Nutzungsbedingungen
| Datenschutz
| FAQ
| RSS
Hosted by:
Copyright © 2007 - 2026
goMatlab.de | Dies ist keine offizielle Website der Firma The Mathworks
MATLAB, Simulink, Stateflow, Handle Graphics, Real-Time Workshop, SimBiology, SimHydraulics, SimEvents, and xPC TargetBox are registered trademarks and The MathWorks, the L-shaped membrane logo, and Embedded MATLAB are trademarks of The MathWorks, Inc.
|
|