|
|
|
Entfernung von Ausreißern |
|
| Gast |
Gast
|
 |
Beiträge: ---
|
 |
|
 |
Anmeldedatum: ---
|
 |
|
 |
Wohnort: ---
|
 |
|
 |
Version: ---
|
 |
|
|
 |
|
Verfasst am: 06.05.2011, 12:27
Titel: Entfernung von Ausreißern
|
 |
Hallo,
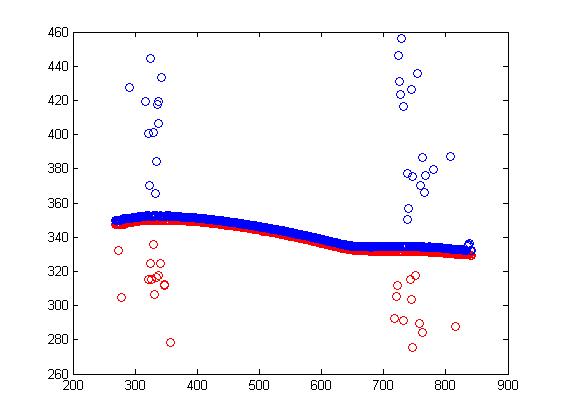
ich befasse mich zur Zeit mit einer Konturanalyse. Diese erfolgt durch ein seperates Programm. Ich lese die erhaltenen Daten in Matlab ein und erhalte wie auf dem Bild zu erkennen die Kotur mit deutlichen Ausreißern.
Meine Frage ist nun, wie ich diese Ausreißer am besten herausfiltern kann, ob diese gelöscht oder durch einen passenden Wert ersetzt werden spielt hierbei keine Rolle.
Hierzu kommt, dass die Konturen eigentlich jede Form annehmen kann und sich dadurch ein einfacher Polynomfit an die Kontur nicht eignet.
Über eine Idee würde ich mich sehr freuen.
| Beschreibung: |
|
 Download |
| Dateiname: |
untitled.jpg |
| Dateigröße: |
22.27 KB |
| Heruntergeladen: |
702 mal |
|
|
|
|
|
|
| blablubb |
Gast
|
 |
Beiträge: ---
|
 |
|
 |
Anmeldedatum: ---
|
 |
|
 |
Wohnort: ---
|
 |
|
 |
Version: ---
|
 |
|
|
 |
|
Verfasst am: 06.05.2011, 13:38
Titel:
|
 |
naja du musst schon irgendwelche annahmen treffen können...
z.b. probiers mal mit einem polynom 5. oder 7. oder 10. grades?!
dann RANSAC (google!) um outlier zu finden und zu eliminieren..
ist nicht so schwer wie sichs anhört.. aber auch nicht trivial!
|
|
|
|
|
|
|
Einstellungen und Berechtigungen
|
|
Du kannst Beiträge in dieses Forum schreiben. Du kannst auf Beiträge in diesem Forum antworten. Du kannst deine Beiträge in diesem Forum nicht bearbeiten. Du kannst deine Beiträge in diesem Forum nicht löschen. Du kannst an Umfragen in diesem Forum nicht mitmachen. Du kannst Dateien in diesem Forum posten Du kannst Dateien in diesem Forum herunterladen
|
|
Impressum
| Nutzungsbedingungen
| Datenschutz
| FAQ
| RSS
Hosted by:
Copyright © 2007 - 2026
goMatlab.de | Dies ist keine offizielle Website der Firma The Mathworks
MATLAB, Simulink, Stateflow, Handle Graphics, Real-Time Workshop, SimBiology, SimHydraulics, SimEvents, and xPC TargetBox are registered trademarks and The MathWorks, the L-shaped membrane logo, and Embedded MATLAB are trademarks of The MathWorks, Inc.
|
|