|
|
|
Erstellung eines Blockschaltbildes in Simulink |
|
| SimuSimu |
Gast
|
 |
Beiträge: ---
|
 |
|
 |
Anmeldedatum: ---
|
 |
|
 |
Wohnort: ---
|
 |
|
 |
Version: ---
|
 |
|
|
 |
|
Verfasst am: 16.05.2016, 14:38
Titel: Erstellung eines Blockschaltbildes in Simulink
|
 |
Guten Tag,
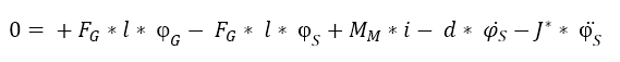
ich benötige ein Blockschaltbild einer Differentialgleichung zweiter Ordnung in Simulink (Bitte als Datei hochladen, zur Sicherheit villeicht auch Screenshot dazu legen). Leider kenne ich mich nicht darin aus und hoffe hier Hilfe zu finden.
F_G ist natürlich m*g
Also Masse * Erdanziehung
Die Funktion befindet sich als Bild-Datei im Anhang dieses Posts!
Beste Grüße von mir!
| Beschreibung: |
|
 Download |
| Dateiname: |
Modellierung.png |
| Dateigröße: |
4.6 KB |
| Heruntergeladen: |
645 mal |
|
|
|
|
|
|
| Harald |

Forum-Meister
|
 |
Beiträge: 24.502
|
 |
|
 |
Anmeldedatum: 26.03.09
|
 |
|
 |
Wohnort: Nähe München
|
 |
|
 |
Version: ab 2017b
|
 |
|
|
 |
|
Verfasst am: 16.05.2016, 17:12
Titel:
|
 |
Hallo,
wo sind denn in der DGL die Ableitungen?
Die generelle Vorgehensweise:
1. Für jede vorkommende Ableitung einen Integrator-Block ins Modell ziehen
2. Ein- und Ausgänge beschriften
3. Eingänge der Integrator-Blöcke aus der DGL konstruieren
4. Anfangsbedingungen eintragen.
Grüße,
Harald
|
|
|
|
| SimuSimu |
Gast
|
 |
Beiträge: ---
|
 |
|
 |
Anmeldedatum: ---
|
 |
|
 |
Wohnort: ---
|
 |
|
 |
Version: ---
|
 |
|
|
 |
|
Verfasst am: 16.05.2016, 17:36
Titel: Erstellung eines Blockschaltbildes in Simulink
|
 |
Hallo Harald,
Die DGL ist bereits Laplacetransformtiert... Leider bin ich BWLer und muss für eine Studienarbeit ein Blockschaltbild finden...
Falls du die originale DGL 2. Ordnung benötigst, bitte siehe Anhang
Vielen Dank!
| Beschreibung: |
|
 Download |
| Dateiname: |
Blockschaltbild2.png |
| Dateigröße: |
2.95 KB |
| Heruntergeladen: |
594 mal |
|
|
|
|
| Harald |

Forum-Meister
|
 |
Beiträge: 24.502
|
 |
|
 |
Anmeldedatum: 26.03.09
|
 |
|
 |
Wohnort: Nähe München
|
 |
|
 |
Version: ab 2017b
|
 |
|
|
 |
|
Verfasst am: 16.05.2016, 17:50
Titel:
|
 |
|
|
|
| SimuSimu |
Gast
|
 |
Beiträge: ---
|
 |
|
 |
Anmeldedatum: ---
|
 |
|
 |
Wohnort: ---
|
 |
|
 |
Version: ---
|
 |
|
|
 |
|
Verfasst am: 16.05.2016, 19:18
Titel: Erstellung eines Blockschaltbildes in Simulink
|
 |
Hallo Harald,
vielen Dank für deine Kurzanleitung! Ich gebe mal mein bestes!
Wenn ich meine Lösung hier hochladen würde, könntest du mir evtl. Feedback geben wie "richtig" ich liege?
Beste Grüße
|
|
|
|
| Harald |

Forum-Meister
|
 |
Beiträge: 24.502
|
 |
|
 |
Anmeldedatum: 26.03.09
|
 |
|
 |
Wohnort: Nähe München
|
 |
|
 |
Version: ab 2017b
|
 |
|
|
 |
|
Verfasst am: 16.05.2016, 19:38
Titel:
|
 |
Hallo,
| Zitat: |
| Wenn ich meine Lösung hier hochladen würde, könntest du mir evtl. Feedback geben wie "richtig" ich liege? |
sicher, so ist das Forum gedacht.
Grüße,
Harald
|
|
|
|
| SimuSimu |
Gast
|
 |
Beiträge: ---
|
 |
|
 |
Anmeldedatum: ---
|
 |
|
 |
Wohnort: ---
|
 |
|
 |
Version: ---
|
 |
|
|
 |
|
Verfasst am: 16.05.2016, 21:32
Titel: Erstellung eines Blockschaltbildes in Simulink
|
 |
Hallo Harald,
vielen Dank für deine Hilfe!
Im Anhang befindet sich das Blockschaltbild.
Ich habe die größen Phi gegen X_a (Ausgangsgröße) und X_e (Eingangsgröße) getauscht.
Wäre super wenn du mir Feedback bzw. Verbesserungsvorschläge geben könntest. Muss das Ding ja noch i-wie in Simulink simulieren
Besten Dank schon mal im Voraus!
| Beschreibung: |
|
 Download |
| Dateiname: |
blockschaltbild3.png |
| Dateigröße: |
125.19 KB |
| Heruntergeladen: |
637 mal |
|
|
|
|
| Harald |

Forum-Meister
|
 |
Beiträge: 24.502
|
 |
|
 |
Anmeldedatum: 26.03.09
|
 |
|
 |
Wohnort: Nähe München
|
 |
|
 |
Version: ab 2017b
|
 |
|
|
 |
|
Verfasst am: 16.05.2016, 21:42
Titel:
|
 |
Hallo,
sieht doch gut aus.
Du kannst das sogar recht direkt in Simulink übertragen. Dazu würde ich lediglich das 1/s^2 in zwei Integratoren aufspalten und die Winkelgeschwindigkeit mit Verstärkung d aus dem ersten herausleiten.
Grüße,
Harald
|
|
|
|
| SimuSimu |
Gast
|
 |
Beiträge: ---
|
 |
|
 |
Anmeldedatum: ---
|
 |
|
 |
Wohnort: ---
|
 |
|
 |
Version: ---
|
 |
|
|
 |
|
Verfasst am: 17.05.2016, 08:19
Titel: Erstellung eines Blockschaltbildes in Simulink
|
 |
| |
 |
|
Guten Morgen Harald,
erst mal Danke für deine schnellen Antworten. Ich bin von deiner Hilfsbereitschaft begeistert
Ich habe jetzt erstmal deine Anregungen im Blockschaltbild (als schnelle Handskizze) übernommen und hoffe, dass die so stimmen (siehe Anhang).
Wenn dir meine Änderungen so gefallen, versuche ich das ganze in Simulink zu übertragen. Hier werde ich ganz sicher deine Hilfe wieder brauchen, da ich noch nie mit Simulink gearbeitet habe... Als ich würde mich freuen, wenn auch du hier mir bei Seite stehen könntest
Außerdem habe ich noch eine Frage. Für die Masse m, die Länge l muss ich feste Annahmen treffen die ich mehr oder weniger gut schätzen kann.
Aber beim Motormoment und der benötigten Übersetzungsstufe i wird es schon etwas schwieriger. Welchen Ansatz würdest du hier wählen? Zur Info: Es muss eine Masse von ca. 70kg um einen Radius von ca. 30cm gedreht werden. Ich habe mich schon etwas in Simulink probiert, bin jedoch kläglich gescheitert... Gibt es ein Glied, das ich z.B. M_M (für Motormoment) nennen kann, und mit einem Wert von z.B. 200Nm behaften kann? Ich habe während der Vorlesung festgestellt, dass ich ein PT1 Glied zur Simulation des Motors benötigen werde, könnte das stimmen?
Du siehst ich kenne mich nicht aus, daher wäre ich sehr um deine Hilfe erfreut
Beste Grüße von mir!
| Beschreibung: |
|
 Download |
| Dateiname: |
Blockschaltbild_4.png |
| Dateigröße: |
309.66 KB |
| Heruntergeladen: |
654 mal |
|
|
|
|
| Harald |

Forum-Meister
|
 |
Beiträge: 24.502
|
 |
|
 |
Anmeldedatum: 26.03.09
|
 |
|
 |
Wohnort: Nähe München
|
 |
|
 |
Version: ab 2017b
|
 |
|
|
 |
|
Verfasst am: 17.05.2016, 08:29
Titel:
|
 |
Hallo,
| Zitat: |
| Ich habe jetzt erstmal deine Anregungen im Blockschaltbild (als schnelle Handskizze) übernommen und hoffe, dass die so stimmen (siehe Anhang). |
Genau das meinte ich :)
| Zitat: |
| Hier werde ich ganz sicher deine Hilfe wieder brauchen, da ich noch nie mit Simulink gearbeitet habe... |
Da du ja schon weißt, wie es aussehen muss, wird das nicht mehr so schwierig sein. Du brauchst im wesentlichen drei Blöcke:
Gain - aus Bibliothek Math Operations
Integrator - aus Continuous
Constant - aus Sources
Zur Frage des Motormoments: da kann ich leider nicht weiterhelfen. Falls du das nicht anderweitig lösen kannst, mach zu der Frage vielleicht nochmal ein separates Thema auf. Es ist durchaus möglich, dass sich in das Thema hier keiner mehr einklinkt.
Grüße,
Harald
|
|
|
|
| SimuSimu |
Gast
|
 |
Beiträge: ---
|
 |
|
 |
Anmeldedatum: ---
|
 |
|
 |
Wohnort: ---
|
 |
|
 |
Version: ---
|
 |
|
|
 |
|
Verfasst am: 18.05.2016, 14:52
Titel: Erstellung eines Blockschaltbildes in Simulink
|
 |
Hallo Harald,
ich habe mich jetzt mit Simulink beschäftigt und versucht, die Regelung in Simulink zu fassen. Leider habe ich ziemliche Probleme, damit ich die Simulation in den Griff bekomme... sprich: das Antwortsignal dem Sollsignal folgt. Könntest du über meine beiden Simulationversuche drüber sehen, und mir tipps geben, bzw. grobe Schnitzer mir mitteilen?
Was mir auch sehr schwer fällt, ist dass ich für den Motor ein PT1 Glied einfügen und den vernüftig in die Regelung miteinbinde. Die Rückkopplung über einen "Lagesensor" funktioniert nur zweifelhaft...
Ich würde mich sehr freuen!
Beste Grüße von mir!
| Beschreibung: |
|
 Download |
| Dateiname: |
Simulink_V_Zwei.slx |
| Dateigröße: |
15.26 KB |
| Heruntergeladen: |
518 mal |
| Beschreibung: |
|
 Download |
| Dateiname: |
Simulink_V_Eins.slx |
| Dateigröße: |
15.28 KB |
| Heruntergeladen: |
516 mal |
|
|
|
|
| Tom_Gast |
Gast
|
 |
Beiträge: ---
|
 |
|
 |
Anmeldedatum: ---
|
 |
|
 |
Wohnort: ---
|
 |
|
 |
Version: ---
|
 |
|
|
 |
|
Verfasst am: 18.05.2016, 17:07
Titel:
|
 |
Hallo,
du hast einen Regelkreis aufgebaut, ohne einen Regler aber mit zwei Strecken?
Es wäre vielleicht erstmal hilfreich, wenn du erklärst, was das ganze überhaupt darstellen soll?
Was hast du für einen genauen Aufbau? Was beschreibt die Differenzialgleichung? Wieso hast du ein Übersetzungsverhältnis? (Getriebe?)
Grundsätzlich brauchst du einen Regler (z.B. einen PI-Regler) der dann eine Stellgröße an deine Regelstrecke gibt (in deinem Fall ein Motor als PT1-Glied).
Gruß Tom
|
|
|
|
| Harald |

Forum-Meister
|
 |
Beiträge: 24.502
|
 |
|
 |
Anmeldedatum: 26.03.09
|
 |
|
 |
Wohnort: Nähe München
|
 |
|
 |
Version: ab 2017b
|
 |
|
|
 |
|
Verfasst am: 18.05.2016, 18:56
Titel:
|
 |
Hallo,
mit Strg+I oder Strg+R kannst du Blöcke rotieren und somit auch wirklich einen Gain in eine Rückführung einbauen.
Statt divide ist es üblicher, einen Gain mit 1/J zu verwenden.
Mit den Regelungsfragen kenne ich mich nicht so gut aus. Falls hier keine Antworten mehr kommen, kann es eine Idee sein, dazu einen neuen Thread zu erstellen, da der momentane doch schon recht lang ist.
Grüße,
Harald
|
|
|
|
|
|
|
Einstellungen und Berechtigungen
|
|
Du kannst Beiträge in dieses Forum schreiben. Du kannst auf Beiträge in diesem Forum antworten. Du kannst deine Beiträge in diesem Forum nicht bearbeiten. Du kannst deine Beiträge in diesem Forum nicht löschen. Du kannst an Umfragen in diesem Forum nicht mitmachen. Du kannst Dateien in diesem Forum posten Du kannst Dateien in diesem Forum herunterladen
|
|
Impressum
| Nutzungsbedingungen
| Datenschutz
| FAQ
| RSS
Hosted by:
Copyright © 2007 - 2026
goMatlab.de | Dies ist keine offizielle Website der Firma The Mathworks
MATLAB, Simulink, Stateflow, Handle Graphics, Real-Time Workshop, SimBiology, SimHydraulics, SimEvents, and xPC TargetBox are registered trademarks and The MathWorks, the L-shaped membrane logo, and Embedded MATLAB are trademarks of The MathWorks, Inc.
|
|