|
|
|
Extended Kalman Filter eines FMD-Systems |
|
| Heber |

Forum-Fortgeschrittener
|
 |
Beiträge: 64
|
 |
|
 |
Anmeldedatum: 01.02.17
|
 |
|
 |
Wohnort: ---
|
 |
|
 |
Version: R2013a
|
 |
|
|
 |
|
Verfasst am: 23.02.2017, 12:35
Titel: Extended Kalman Filter eines FMD-Systems
|
 |
| |
 |
|
Hallo,
ich möchte ein Extended Kalman Filter für ein Feder-Masse-Dämpfer System mit Reibung auslegen.
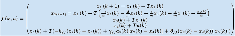
Die diskrete Form der fünf gewählten Zustandsgrößen zu sehen ist im Bild "f" zu sehen. Keine Ahnung wie man eine nicht Latex-Formel hier einfügt.
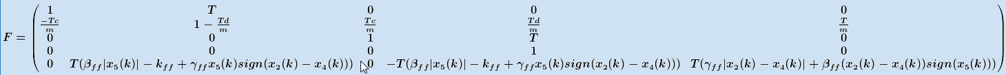
Die Jacobimatrix ist als Bild "J" angefügt.
Ich verstehe nun die Fehlermeldungen nicht. Die Dimensionen der Matrizen müssen passen.
Kann mir jemand helfen und mir sagen woran es liegt, dass der Algorithmus nicht funktioniert?
Das Vorgehen, ist einfach die Gleichung f partiell nach x abzuleiten und so die Jacobimatrix zu bekommen.
Dann wird einfach der Algorithmus aus der m-function abgearbeitet.
Vielen Dank,
Heber
| Beschreibung: |
|
 Download |
| Dateiname: |
J.png |
| Dateigröße: |
8.69 KB |
| Heruntergeladen: |
486 mal |
| Beschreibung: |
|
 Download |
| Dateiname: |
f.png |
| Dateigröße: |
9.64 KB |
| Heruntergeladen: |
484 mal |
| Beschreibung: |
|
 Download |
| Dateiname: |
FMD_Skript.m |
| Dateigröße: |
426 Bytes |
| Heruntergeladen: |
512 mal |
| Beschreibung: |
|
 Download |
| Dateiname: |
FMD.slx |
| Dateigröße: |
23.06 KB |
| Heruntergeladen: |
498 mal |
|
|
|
|
|
|
|
|
|
Einstellungen und Berechtigungen
|
|
Du kannst Beiträge in dieses Forum schreiben. Du kannst auf Beiträge in diesem Forum antworten. Du kannst deine Beiträge in diesem Forum nicht bearbeiten. Du kannst deine Beiträge in diesem Forum nicht löschen. Du kannst an Umfragen in diesem Forum nicht mitmachen. Du kannst Dateien in diesem Forum posten Du kannst Dateien in diesem Forum herunterladen
|
|
Impressum
| Nutzungsbedingungen
| Datenschutz
| FAQ
| RSS
Hosted by:
Copyright © 2007 - 2026
goMatlab.de | Dies ist keine offizielle Website der Firma The Mathworks
MATLAB, Simulink, Stateflow, Handle Graphics, Real-Time Workshop, SimBiology, SimHydraulics, SimEvents, and xPC TargetBox are registered trademarks and The MathWorks, the L-shaped membrane logo, and Embedded MATLAB are trademarks of The MathWorks, Inc.
|
|