|
|
|
Formel in Matlab programmieren |
|
| MartinW |

Forum-Newbie
|
 |
Beiträge: 1
|
 |
|
 |
Anmeldedatum: 12.07.12
|
 |
|
 |
Wohnort: ---
|
 |
|
 |
Version: ---
|
 |
|
|
 |
|
Verfasst am: 12.07.2012, 09:02
Titel: Formel in Matlab programmieren
|
 |
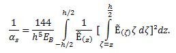
Hi, ich hoffe das mir einer von euch helfen kann. Ich versuche die im Anhang befindliche Formel
in Matlab zu programmieren. Das Problem ist das die untere Grenze des inneren Integrals dabei ein Vektor und E(z) bzw E(gamma) eine Fourierreihe beschreibt.
| Beschreibung: |
| Formel für Schubkorrekturfaktor |
|
 Download |
| Dateiname: |
SChubkorrekturfaktor.JPG |
| Dateigröße: |
11.73 KB |
| Heruntergeladen: |
414 mal |
|
|
|
|
|
|
|
|
|
Einstellungen und Berechtigungen
|
|
Du kannst Beiträge in dieses Forum schreiben. Du kannst auf Beiträge in diesem Forum antworten. Du kannst deine Beiträge in diesem Forum nicht bearbeiten. Du kannst deine Beiträge in diesem Forum nicht löschen. Du kannst an Umfragen in diesem Forum nicht mitmachen. Du kannst Dateien in diesem Forum posten Du kannst Dateien in diesem Forum herunterladen
|
|
Impressum
| Nutzungsbedingungen
| Datenschutz
| FAQ
| RSS
Hosted by:
Copyright © 2007 - 2026
goMatlab.de | Dies ist keine offizielle Website der Firma The Mathworks
MATLAB, Simulink, Stateflow, Handle Graphics, Real-Time Workshop, SimBiology, SimHydraulics, SimEvents, and xPC TargetBox are registered trademarks and The MathWorks, the L-shaped membrane logo, and Embedded MATLAB are trademarks of The MathWorks, Inc.
|
|