|
|
|
Funktion mit Ableitung der Digamma Funktion plotten |
|
| steppenwolf |
Gast
|
 |
Beiträge: ---
|
 |
|
 |
Anmeldedatum: ---
|
 |
|
 |
Wohnort: ---
|
 |
|
 |
Version: ---
|
 |
|
|
 |
|
Verfasst am: 28.05.2019, 16:56
Titel: Funktion mit Ableitung der Digamma Funktion plotten
|
 |
| |
 |
|
Hallo liebe Matlab-cracks,
Ich versuche gerade eine relativ komplexe Funktion (siehe angehängtes Bild #1) in Octave zu plotten. Irgendwo dürfte ein Fehler reingerutscht sein, denn die Funktion sieht einfach nicht aus wie erwartet (siehe angehängtes Bild #2).
Schwierigkeiten gibt es dadurch, dass die Ableitung der Digamma funktion
[code]psi(1,arg)[\code] keine komplexen Argumente haben darf. Daher musste ich den Umweg über die Ableitung mit [code] gradient(psi(0,arg)) [\code] machen. Symbolisch rechnen kann octave leider nicht. aber so sollte das ja auch zu schaffen sein!
Mein Versuch:
[code]%Das ist mein Programm
h = 0.01; %step size
T=[0.001:h:20]';
Delta=2E-3*1.60218E-19; %eV->J
k_B=1.380649E-23; %J/K
R=8.314462; %kg m^2 / (s^2 mol K)
g=2;
H=2/(4*pi*1E-7); %A/m
mu_B=9.274E-24; %J/T
N_A=R/k_B;
%Diff = diff(f)/h; % first derivative
arg1=1+(Delta+1i*g*mu_B*H)./(pi*k_B.*T);
arg2=1+(Delta+1i*g*mu_B*H)./(2*pi*k_B.*T);
psi1=psi(0,arg1);
psi2=psi(0,arg2);
aa=gradient(psi1);
bb=gradient(psi2);
cc=4*aa-bb;
%aa=(4*psi(0,arg1)-psi(0,arg2))
%aa=[0, aa];
CoverT=(Delta./(pi*T.^2))-(2*k_B./T).*...
real(((arg2-1).^2).*cc)
%figure();
%loglog(T,CoverT);
semilogy(T,CoverT);
%plot(T,CoverT);
%figure();
%plot(T,psi(1,T));
[/code]
Ich würde mich über Vorschläge wirklich sehr freuen! Danke!
lg
wolfgang
| Beschreibung: |
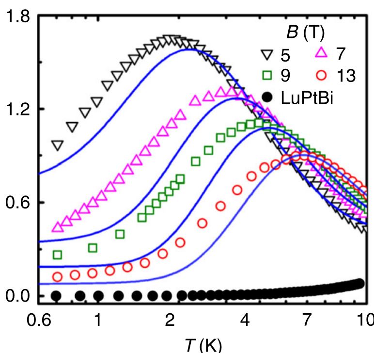
| Die Funktion, die ich plotten möchte, sollte ungefähr so aussehen wie die blauen durchgezogenen Linien in diesem Diagramm. |
|
 Download |
| Dateiname: |
Capture.JPG |
| Dateigröße: |
78.66 KB |
| Heruntergeladen: |
434 mal |
| Beschreibung: |
| Das ist die zu plottende Funktion. |
|
 Download |
| Dateiname: |
kondomodel.jpg |
| Dateigröße: |
74.67 KB |
| Heruntergeladen: |
410 mal |
|
|
|
|
|
|
|
|
|
Einstellungen und Berechtigungen
|
|
Du kannst Beiträge in dieses Forum schreiben. Du kannst auf Beiträge in diesem Forum antworten. Du kannst deine Beiträge in diesem Forum nicht bearbeiten. Du kannst deine Beiträge in diesem Forum nicht löschen. Du kannst an Umfragen in diesem Forum nicht mitmachen. Du kannst Dateien in diesem Forum posten Du kannst Dateien in diesem Forum herunterladen
|
|
Impressum
| Nutzungsbedingungen
| Datenschutz
| FAQ
| RSS
Hosted by:
Copyright © 2007 - 2026
goMatlab.de | Dies ist keine offizielle Website der Firma The Mathworks
MATLAB, Simulink, Stateflow, Handle Graphics, Real-Time Workshop, SimBiology, SimHydraulics, SimEvents, and xPC TargetBox are registered trademarks and The MathWorks, the L-shaped membrane logo, and Embedded MATLAB are trademarks of The MathWorks, Inc.
|
|