|
|
| retsam |

Forum-Century
|
 |
Beiträge: 112
|
 |
|
 |
Anmeldedatum: 23.09.13
|
 |
|
 |
Wohnort: ---
|
 |
|
 |
Version: ---
|
 |
|
|
 |
|
Verfasst am: 28.01.2014, 13:35
Titel: Gaußfilter
|
 |
Hallo Zusammen,
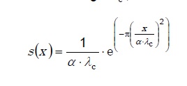
ich würde gerne den Gaußfilter zu Übungszwecken selbst programmieren.
Dabei habe ich folgenden Gewichtsfunktion:
Da dies etwas verwirrend ist habe ich ein Bild mit der Gewichtsfunktion angehängt.
Ich weiß, dass ich selbstgeschriebene Filterfunktionen über den Befehl
aufrufen kann.
Jedoch klappt dies nicht.
Anbei der Code:
Kennt jemand das Problem, liege ich falsch? Ich bekomme den Graphen nicht gefilter als Ausgabe. ....
Über Tipps und Tricks wäre ich sehr dankbar
Greetz
| Beschreibung: |
|
 Download |
| Dateiname: |
Unbenannt.jpg |
| Dateigröße: |
6.06 KB |
| Heruntergeladen: |
519 mal |
|
|
|
|
|
|
| Harald |

Forum-Meister
|
 |
Beiträge: 24.502
|
 |
|
 |
Anmeldedatum: 26.03.09
|
 |
|
 |
Wohnort: Nähe München
|
 |
|
 |
Version: ab 2017b
|
 |
|
|
 |
|
Verfasst am: 29.01.2014, 09:37
Titel:
|
 |
Hallo,
was genau klappt nicht?
Auf Anhieb sehe ich, dass Klammern für den Nenner fehlen:
Grüße,
Harald
|
|
|
|
| retsam |
Themenstarter

Forum-Century
|
 |
Beiträge: 112
|
 |
|
 |
Anmeldedatum: 23.09.13
|
 |
|
 |
Wohnort: ---
|
 |
|
 |
Version: ---
|
 |
|
|
 |
|
Verfasst am: 05.03.2014, 12:26
Titel:
|
 |
Hallo Zusammen,
auch wenn vielleicht etwas verspätet, jedoch möchte ich kurz mitteilen, dass ich das Problem gelöst habe.
Folgender Beitrag hat mir hierbei geholfen.
http://stackoverflow.com/questions/.....ter-on-a-vector-in-matlab
(Ich hoffe, dass ich diesen auch verlinken darf).
Daher Thema gelöst und nochmals vielen Dank an Harald.
Greetz
|
|
|
|
|
|
|
Einstellungen und Berechtigungen
|
|
Du kannst Beiträge in dieses Forum schreiben. Du kannst auf Beiträge in diesem Forum antworten. Du kannst deine Beiträge in diesem Forum nicht bearbeiten. Du kannst deine Beiträge in diesem Forum nicht löschen. Du kannst an Umfragen in diesem Forum nicht mitmachen. Du kannst Dateien in diesem Forum posten Du kannst Dateien in diesem Forum herunterladen
|
|
Impressum
| Nutzungsbedingungen
| Datenschutz
| FAQ
| RSS
Hosted by:
Copyright © 2007 - 2026
goMatlab.de | Dies ist keine offizielle Website der Firma The Mathworks
MATLAB, Simulink, Stateflow, Handle Graphics, Real-Time Workshop, SimBiology, SimHydraulics, SimEvents, and xPC TargetBox are registered trademarks and The MathWorks, the L-shaped membrane logo, and Embedded MATLAB are trademarks of The MathWorks, Inc.
|
|