|
|
| al3ko |

Forum-Anfänger
|
 |
Beiträge: 16
|
 |
|
 |
Anmeldedatum: 12.09.11
|
 |
|
 |
Wohnort: ---
|
 |
|
 |
Version: ---
|
 |
|
|
 |
|
Verfasst am: 18.09.2011, 15:52
Titel: Gleichung loesen
|
 |
Hi Leute,
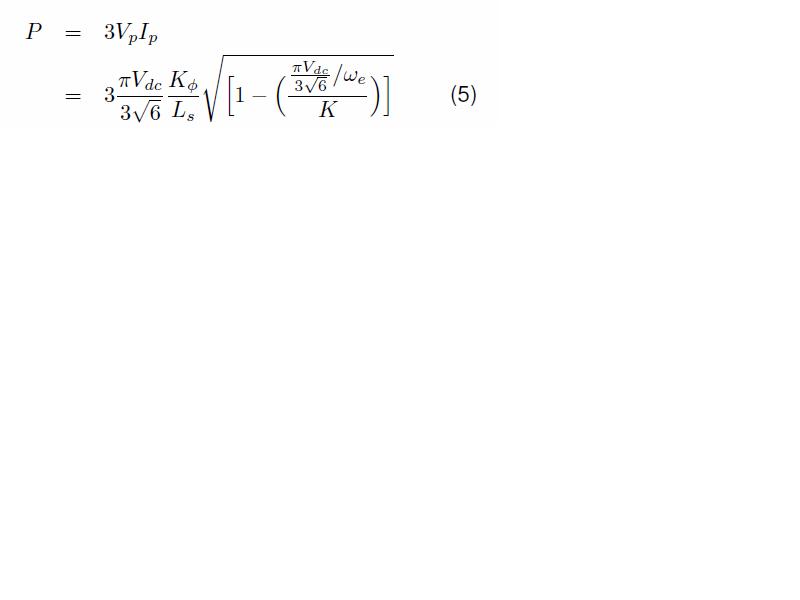
Eine Gleichung, die sich im Anhang befindet, muss in Matlab geloest werden. Leider kenne ich mich nur bedingt in Matlab aus und brauche deshalb eure Hilfe. Ich habe alle Parameter gegeben und soll die Gleichung P=f(V_DC) loesen. Ich habe bereits die Matlab Hilfe angeschaut, jedoch kann ich das Ergebnis nicht deuten, da ich keine Zahl sondern einen ellenlagen Ausdruck bekomme.
Mein Code bis jetzt:
Ist der Befehl solve ueberhaupt richtig?
Ich habe versucht mit Maple zu rechnen und erhalte ca. 583. Kann das angehen?
Es waere nett, wenn mir einer helfen koennte.
Danke und Gruss,
al3ko
| Beschreibung: |
|
 Download |
| Dateiname: |
untitled.JPG |
| Dateigröße: |
14.35 KB |
| Heruntergeladen: |
845 mal |
|
|
|
|
|
|
| Harald |

Forum-Meister
|
 |
Beiträge: 24.502
|
 |
|
 |
Anmeldedatum: 26.03.09
|
 |
|
 |
Wohnort: Nähe München
|
 |
|
 |
Version: ab 2017b
|
 |
|
|
 |
|
Verfasst am: 18.09.2011, 16:29
Titel:
|
 |
Hallo,
hier ist wohl eine numerische Lösung sinnvoller, das ginge mit FSOLVE.
In diesem Fall könntest du auch mit
die Lösung auswerten.
Und ob die 583 eine Lösung deiner Gleichung ist, kannst du doch ganz einfach herausfinden: einsetzen!
Grüße,
Harald
|
|
|
|
| al3ko |
Themenstarter

Forum-Anfänger
|
 |
Beiträge: 16
|
 |
|
 |
Anmeldedatum: 12.09.11
|
 |
|
 |
Wohnort: ---
|
 |
|
 |
Version: ---
|
 |
|
|
 |
|
Verfasst am: 19.09.2011, 08:43
Titel:
|
 |
Hallo Harald,
mit eval() komme ich ans Ziel.
Danke
Gruß
|
|
|
|
|
|
|
Einstellungen und Berechtigungen
|
|
Du kannst Beiträge in dieses Forum schreiben. Du kannst auf Beiträge in diesem Forum antworten. Du kannst deine Beiträge in diesem Forum nicht bearbeiten. Du kannst deine Beiträge in diesem Forum nicht löschen. Du kannst an Umfragen in diesem Forum nicht mitmachen. Du kannst Dateien in diesem Forum posten Du kannst Dateien in diesem Forum herunterladen
|
|
Impressum
| Nutzungsbedingungen
| Datenschutz
| FAQ
| RSS
Hosted by:
Copyright © 2007 - 2026
goMatlab.de | Dies ist keine offizielle Website der Firma The Mathworks
MATLAB, Simulink, Stateflow, Handle Graphics, Real-Time Workshop, SimBiology, SimHydraulics, SimEvents, and xPC TargetBox are registered trademarks and The MathWorks, the L-shaped membrane logo, and Embedded MATLAB are trademarks of The MathWorks, Inc.
|
|