|
|
|
Hilfe - Berechnen/Plotten abschnittsweiser Funktionen |
|
| Snowsuitup |
Gast
|
 |
Beiträge: ---
|
 |
|
 |
Anmeldedatum: ---
|
 |
|
 |
Wohnort: ---
|
 |
|
 |
Version: ---
|
 |
|
|
 |
|
Verfasst am: 13.05.2013, 19:33
Titel: Hilfe - Berechnen/Plotten abschnittsweiser Funktionen
|
 |
Hallo Go Matlab Community,
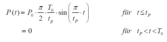
ich hänge jetzt schon eine ganze Weile an diesem Problem. Ich habe eine Funktion welche die Kraftentwicklung infolge von Hüpfen einer Person beschreibt (vgl. Anhang).
1) Ich würde diese Funktion gerne im Matlab abbilden, ABER für mehr als eine Periodenlänge. (Bsp. Eine Person springt auf und ab)
2) Später würde ich gerne als zweite Funktion den identischen Ablauf um die halbe Periodenlänge verschieben und in die gleiche figure plotten. (Bsp. zwei Personen springen um die halbe Periodenlänge versetzt)
Natürlich sollte es am Ende zwei schöne Plots geben
Danke schon im Voraus,
Snowsuitup
| Beschreibung: |
|
 Download |
| Dateiname: |
function.png |
| Dateigröße: |
13.6 KB |
| Heruntergeladen: |
253 mal |
|
|
|
|
|
|
| Jan S |

Moderator
|
 |
Beiträge: 11.057
|
 |
|
 |
Anmeldedatum: 08.07.10
|
 |
|
 |
Wohnort: Heidelberg
|
 |
|
 |
Version: 2009a, 2016b
|
 |
|
|
 |
|
Verfasst am: 14.05.2013, 13:38
Titel: Re: Hilfe - Berechnen/Plotten abschnittsweiser Funktionen
|
 |
Hallo Snowsuitup,
Du hast ganz vergessen zu erklären, was Du bisher schon versucht hast und welche Probleme es gab. Es ist immer viel einfacher, Verbessserungsvorschläge zu machen, als ein Problem für jemand anderen von Grund auf zu lösen.
Gruß, Jan
|
|
|
|
|
|
|
Einstellungen und Berechtigungen
|
|
Du kannst Beiträge in dieses Forum schreiben. Du kannst auf Beiträge in diesem Forum antworten. Du kannst deine Beiträge in diesem Forum nicht bearbeiten. Du kannst deine Beiträge in diesem Forum nicht löschen. Du kannst an Umfragen in diesem Forum nicht mitmachen. Du kannst Dateien in diesem Forum posten Du kannst Dateien in diesem Forum herunterladen
|
|
Impressum
| Nutzungsbedingungen
| Datenschutz
| FAQ
| RSS
Hosted by:
Copyright © 2007 - 2026
goMatlab.de | Dies ist keine offizielle Website der Firma The Mathworks
MATLAB, Simulink, Stateflow, Handle Graphics, Real-Time Workshop, SimBiology, SimHydraulics, SimEvents, and xPC TargetBox are registered trademarks and The MathWorks, the L-shaped membrane logo, and Embedded MATLAB are trademarks of The MathWorks, Inc.
|
|