WICHTIG: Der Betrieb von goMatlab.de wird privat finanziert fortgesetzt. - Mehr Infos...

Mein MATLAB Forum - goMatlab.de

Mein MATLAB Forum

 
Gast > Registrieren       Autologin?   

Partner:




Forum
      Option
[Erweitert]
  • Diese Seite per Mail weiterempfehlen
     


Gehe zu:  
Neues Thema eröffnen Neue Antwort erstellen

Integral lösen Matlab

 

Lucy

Gast


Beiträge: ---
Anmeldedatum: ---
Wohnort: ---
Version: ---
     Beitrag Verfasst am: 08.12.2022, 11:40     Titel: Integral lösen Matlab
  Antworten mit Zitat      
Hey Smile

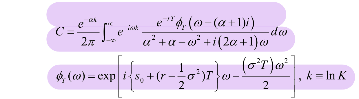
Ich muss folgendes Integral lösen (siehe Anhang).

Mein Code ist
Code:

function phi =PHI(s_0,r,sigma,T,w)

phi =exp(1i.*(s_0+(r-(sigma.^2)/2)*T).*w-((sigma.^2.*T).*w.^2)/2);

end

function call=CALLf(alpha,k,r,T)

%w-(alpha+1).*1i

fun = @(w) exp(-1i.*w.*k).*exp(-r*T).*PHI(log(50),r,0.2,T,w-(alpha+1).*1i)/(alpha^2+alpha-w.^2+1i.*(2*alpha+1)*w);
call = exp(-alpha*k)/2*pi*integral(fun,-inf,inf,'ArrayValued',true);

end
 


Allerdings bekomme ich ein falsches Ergebnis raus, weiß jemand woran das liegt ?
Vielen Dank schon mal im Voraus! Smile

IMG_0530.jpg
 Beschreibung:

Download
 Dateiname:  IMG_0530.jpg
 Dateigröße:  164.05 KB
 Heruntergeladen:  673 mal


Harald
Forum-Meister

Forum-Meister


Beiträge: 24.502
Anmeldedatum: 26.03.09
Wohnort: Nähe München
Version: ab 2017b
     Beitrag Verfasst am: 08.12.2022, 11:57     Titel:
  Antworten mit Zitat      
Hallo,

welche Werte nutzt du für alpha,k,r,T?
Was ist das richtige Ergebnis?

Grüße,
Harald
_________________

1.) Ask MATLAB Documentation
2.) Search gomatlab.de, google.de or MATLAB Answers
3.) Ask Technical Support of MathWorks
4.) Go mad, your problem is unsolvable ;)
Private Nachricht senden Benutzer-Profile anzeigen
 
Lucy

Gast


Beiträge: ---
Anmeldedatum: ---
Wohnort: ---
Version: ---
     Beitrag Verfasst am: 08.12.2022, 12:04     Titel:
  Antworten mit Zitat      
Hey meine Werte sind:

Code:

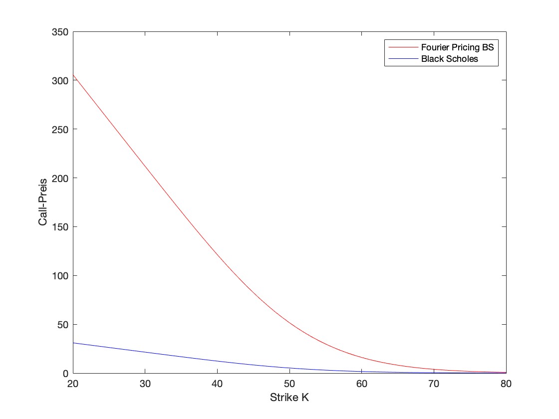
%Plot
for k = 20:1:80
call(k) = CALLf(1,log(k),0.05,1);


x=20:1:80;

plot(x,call(x),'r',x,callbs(x),'b');

xlabel('Strike K')
ylabel('Call-Preis')
legend('Fourier Pricing BS')
end
 


also alpha = 1, k=log(k),T=1 und r =0.05, bei der Phi funktion: s_0=log(50) und sigma =0.2
 
Lucy

Gast


Beiträge: ---
Anmeldedatum: ---
Wohnort: ---
Version: ---
     Beitrag Verfasst am: 08.12.2022, 12:08     Titel:
  Antworten mit Zitat      
Das richtige Ergebnis wäre die blaue Kurve (siehe Anhang), also es kommen die Werte die rauskommen sollten*9.867.. ich kann mir irgendwie nicht erklären wo das herkommt Sad

fbs.jpg
 Beschreibung:

Download
 Dateiname:  fbs.jpg
 Dateigröße:  48.2 KB
 Heruntergeladen:  651 mal
 
Lucy

Gast


Beiträge: ---
Anmeldedatum: ---
Wohnort: ---
Version: ---
     Beitrag Verfasst am: 08.12.2022, 12:22     Titel:
  Antworten mit Zitat      
Harald hat Folgendes geschrieben:
Hallo,

welche Werte nutzt du für alpha,k,r,T?
Was ist das richtige Ergebnis?

Grüße,
Harald


Beide Fragen sind beantwortet Smile
 
Harald
Forum-Meister

Forum-Meister


Beiträge: 24.502
Anmeldedatum: 26.03.09
Wohnort: Nähe München
Version: ab 2017b
     Beitrag Verfasst am: 08.12.2022, 14:26     Titel:
  Antworten mit Zitat      
Hallo,

man kann da nur Schritt für Schritt die Formel und den Code vergleichen. Was mir aufgefallen ist, sind fehlende Klammern:
call = exp(-alpha*k)/(2*pi) * ...

Dadurch ändern sich die Ergebnisse um Faktor pi^2 = 9,8696

Eventuell verbleibende Unterschiede können z.B. durch Integrationsfehler bei der numerischen Berechnung der Integrale erklärt werden.

Grüße,
Harald
_________________

1.) Ask MATLAB Documentation
2.) Search gomatlab.de, google.de or MATLAB Answers
3.) Ask Technical Support of MathWorks
4.) Go mad, your problem is unsolvable ;)
Private Nachricht senden Benutzer-Profile anzeigen
 
Neues Thema eröffnen Neue Antwort erstellen



Einstellungen und Berechtigungen
Beiträge der letzten Zeit anzeigen:

Du kannst Beiträge in dieses Forum schreiben.
Du kannst auf Beiträge in diesem Forum antworten.
Du kannst deine Beiträge in diesem Forum nicht bearbeiten.
Du kannst deine Beiträge in diesem Forum nicht löschen.
Du kannst an Umfragen in diesem Forum nicht mitmachen.
Du kannst Dateien in diesem Forum posten
Du kannst Dateien in diesem Forum herunterladen
.





 Impressum  | Nutzungsbedingungen  | Datenschutz | FAQ | goMatlab RSS Button RSS

Hosted by:


Copyright © 2007 - 2026 goMatlab.de | Dies ist keine offizielle Website der Firma The Mathworks

MATLAB, Simulink, Stateflow, Handle Graphics, Real-Time Workshop, SimBiology, SimHydraulics, SimEvents, and xPC TargetBox are registered trademarks and The MathWorks, the L-shaped membrane logo, and Embedded MATLAB are trademarks of The MathWorks, Inc.