|
|
|
Inverses Pendel modillieren |
|
| DontKnow |

Forum-Newbie
|
 |
Beiträge: 2
|
 |
|
 |
Anmeldedatum: 23.04.15
|
 |
|
 |
Wohnort: ---
|
 |
|
 |
Version: ---
|
 |
|
|
 |
|
Verfasst am: 23.04.2015, 20:06
Titel: Inverses Pendel modillieren
|
 |
| |
 |
|
Hallo,
in euerem Forum habe ich schon ein paar Themen über Inverse Pendel gesehen. Zurzeit behandle ich auch ein Inverses Pendel und würde dies gerne in ein Simulinkmodell umwandeln.
(Zuvor habe ich so einfache Differentialgleichungen von z.B. Wasserstandsregelung, Abstandsregelung in Simulink modelliert)
Da ich mich mit Simulink nicht so auskenne, wende ich mich nun an euch
##########
Meine Fragestellungen / Ziele die ich habe:
Primär: Mit dem Simulink Modell erhoffe ich mir einen Graphen, wie sich das System verhält.
Im Idealfall könnte ich dann z.B. die maximale benötigte Frequenz für den Schrittmotor herausfinden um für eine Frequenzbox, diese Frequenz zu Verfügung stellen zu können.
Sekundär: Einen Regeler an das System bauen, um später dieses Pendel regeln zu können.
##########
Habe einen Schrittmotor Nanotec-ST4018L1804
##########
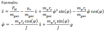
Im Anhang habe ich mal meine aufgestellte DGL angehängt (als Bild), die ich versucht habe in Simulink (ebenfalls im Anhang) in den Subsystemen zu verwirklichen.
Hab ich hierbei schon was falsch gemacht???
Habe als Eingangsgröße die Kraft genommen (da ich noch nicht weiß wie ich das auf den Schrittmotor runterbrechen kann).
Welchen Startwert sollte man dann nehmen, wenn man das Verhalten simulieren will?!?
Ich hoffe ihr könnt mir weiterhelfen, damit ich mein Verständnis hinsichtlich Modellierung mit Simulink weiterentwickeln kann.
Falls ich es komplett falsch Modelliert habe, würde ich mich über einen nützlichen Link / Tutorial freuen.
Danke schon im Voraus!!!
Gruß DontKnow
| Beschreibung: |
|
 Download |
| Dateiname: |
Simulink_InversesPendel.slx |
| Dateigröße: |
15.39 KB |
| Heruntergeladen: |
931 mal |
| Beschreibung: |
| Skript mit Daten für Modell |
|
 Download |
| Dateiname: |
Simulink_Skript.m |
| Dateigröße: |
1.4 KB |
| Heruntergeladen: |
915 mal |
| Beschreibung: |
|
 Download |
| Dateiname: |
Formeln.png |
| Dateigröße: |
3.52 KB |
| Heruntergeladen: |
1073 mal |
|
|
|
|
|
|
| Silas |

Forum-Newbie
|
 |
Beiträge: 2
|
 |
|
 |
Anmeldedatum: 15.10.15
|
 |
|
 |
Wohnort: ---
|
 |
|
 |
Version: ---
|
 |
|
|
 |
|
Verfasst am: 15.10.2015, 08:29
Titel: Lösung gefunden?
|
 |
Hallo DontKnow,
hast du mittlerweile eine Lösung für dein Problem gefunden?
Ich bin ähnlich unerfahren in Simulink und stehe vor der gleichen Aufgabe.
mfg. Silas
|
|
|
|
| DontKnow |
Themenstarter

Forum-Newbie
|
 |
Beiträge: 2
|
 |
|
 |
Anmeldedatum: 23.04.15
|
 |
|
 |
Wohnort: ---
|
 |
|
 |
Version: ---
|
 |
|
|
 |
|
Verfasst am: 15.10.2015, 17:41
Titel:
|
 |
Hi Silas,
hab viel rumprobiert und für die nicht lineare Gleichung habe ich (so denke ich) eine Lösung gefunden. (Damit mein ich, wenn ich das Pendel los lasse, dann sieht man das es schwingt xD )
Für die linearisierte Form weiß ich nur nicht ob das richtig ist. Das Verhalten stimmt nämlich nicht. Bzw. auch der Reglerentwurf hat nicht funktioniert.
Weiß nur nicht ob der Simulink aufbau falsch ist, oder die Gleichungen, oder vielleicht das Linearisieren
Im Anhang ist mal als .zip Datei die Dateien wo ich verwendet habe. Wenn du eine Lsg hast würde mich das freuen wenn du eine Antwort hinterlässt
lg DontKnow
PS: Falls du noch meine "Versuchte" Entwicklung der Gleichung brauchst, schreib einfach.
| Beschreibung: |
|
 Download |
| Dateiname: |
inverses-Pendel.zip |
| Dateigröße: |
38.22 KB |
| Heruntergeladen: |
843 mal |
|
|
|
|
|
|
|
Einstellungen und Berechtigungen
|
|
Du kannst Beiträge in dieses Forum schreiben. Du kannst auf Beiträge in diesem Forum antworten. Du kannst deine Beiträge in diesem Forum nicht bearbeiten. Du kannst deine Beiträge in diesem Forum nicht löschen. Du kannst an Umfragen in diesem Forum nicht mitmachen. Du kannst Dateien in diesem Forum posten Du kannst Dateien in diesem Forum herunterladen
|
|
Impressum
| Nutzungsbedingungen
| Datenschutz
| FAQ
| RSS
Hosted by:
Copyright © 2007 - 2026
goMatlab.de | Dies ist keine offizielle Website der Firma The Mathworks
MATLAB, Simulink, Stateflow, Handle Graphics, Real-Time Workshop, SimBiology, SimHydraulics, SimEvents, and xPC TargetBox are registered trademarks and The MathWorks, the L-shaped membrane logo, and Embedded MATLAB are trademarks of The MathWorks, Inc.
|
|