| 
 | 
  
 
| Kallyo | 
 
  
 
Forum-Newbie
 
 
 | 
 
  | 
Beiträge: 1
 | 
  | 
 
 | 
 
  | 
Anmeldedatum: 26.10.19
 | 
  | 
 
 | 
 
  | 
Wohnort: ---
 | 
  | 
 
 | 
 
  | 
Version: ---
 | 
  | 
 
 | 
 
 
 | 
 
  | 
 
  | 
      
Verfasst am: 26.10.2019, 15:07    
Titel: Isotherme Expansion
 | 
  | 
 
 
Hallo zusammen,
 
 
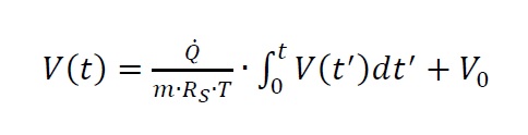
ich bin Neuling im Umgang mit Matlab/Simulink. Ich soll das Volumen eines Zylinders während einer Isothermen Expansion als Funktion der Zeit darstellen. Die Differentilalgleichung dafür habe ich gegeben (s. Anhang)
 
 
Die Funktion zur Lösung der DGL habe ich folgendermaßen aufgestellt:
 
function y=volumen(u) 
 
global V0 m Rs T0 Q_punkt 
 
V=u(1); 
 
y=(Q_punkt/(m*Rs*T0))*(V+V0); 
 
end
 
 
Die Aufgabe soll unter anderem mit Simulink gelöst werden. Einen Screenshot der Steuerung habe ich angehangen.
 
 
Ist das so korrekt?
 
 
Gruß, Kallyo
	
  
	
	
		
	 
	
		|  Beschreibung: | 
		
			
		 | 
		  Download | 
	 
	
		|  Dateiname: | 
		 Simulink.jpg | 
	 
	
		|  Dateigröße: | 
		 32.58 KB | 
	 
	
		|  Heruntergeladen: | 
		 778 mal | 
	 
	 
	
	
		
	 
	
		|  Beschreibung: | 
		
			
		 | 
		  Download | 
	 
	
		|  Dateiname: | 
		 DGL.jpg | 
	 
	
		|  Dateigröße: | 
		 11.1 KB | 
	 
	
		|  Heruntergeladen: | 
		 733 mal | 
	 
	 
 |   
 | 
 
| 
 | 
 
 
		
		 |  
		
		
		
  
		 | 
		 
		
| Zoom | 
 
  
 
Forum-Newbie
 
 
 | 
 
  | 
Beiträge: 1
 | 
  | 
 
 | 
 
  | 
Anmeldedatum: 08.01.20
 | 
  | 
 
 | 
 
  | 
Wohnort: ---
 | 
  | 
 
 | 
 
  | 
Version: ---
 | 
  | 
 
 | 
 
 
 | 
 
  | 
 
  | 
      
Verfasst am: 10.01.2020, 10:58    
Titel: Volumen
 | 
  | 
 
 
%Volumen
 
function y = Volumen(u)
 
global tau V1 V2
 
t=u(1);% Zeit
 
volumen=V1*(1-t/tau) + V2*t/tau;
 
y=volumen;
 
end
 
Hast Du das Programm weiter entwickelt?
 |   
 | 
 
| 
 | 
 
 
 
| fabianT | 
 
  
 
Forum-Fortgeschrittener
 
 
 | 
 
  | 
Beiträge: 84
 | 
  | 
 
 | 
 
  | 
Anmeldedatum: 31.10.18
 | 
  | 
 
 | 
 
  | 
Wohnort: ---
 | 
  | 
 
 | 
 
  | 
Version: ---
 | 
  | 
 
 | 
 
 
 | 
 
  | 
 
  | 
      
Verfasst am: 16.01.2020, 13:44    
Titel: 
 | 
  | 
 
 
Hallo,
 
 
V0 ist vermutlich der Initialwert des Integrators und kann dort als solcher eingetragen werden. 
 
 
Ansonsten würde ich die Interpreted ML Fcn Blöcke sein lassen, da diese die MATLAB Engine bei jedem Zeitschritt aufrufen. Verwende lieber die normalen MATLAB Function Blöcke.
 
 
VG
 
Fabian
 |   
 | 
 
| 
 | 
 
 
 
 
 
  
 | 
  
 | 
 
| 
Einstellungen und Berechtigungen
 | 
 
 
 | 
Du kannst Beiträge in dieses Forum schreiben. Du kannst auf Beiträge in diesem Forum antworten. Du kannst deine Beiträge in diesem Forum nicht bearbeiten. Du kannst deine Beiträge in diesem Forum nicht löschen. Du kannst an Umfragen in diesem Forum nicht mitmachen. Du kannst Dateien in diesem Forum posten Du kannst Dateien in diesem Forum herunterladen 
 | 
 
 
 
 |  
 
 
  Impressum
 | Nutzungsbedingungen
 | Datenschutz
 | FAQ
 |   RSS
  
  
  Hosted by: 
 
  
  
Copyright © 2007 - 2025
goMatlab.de | Dies ist keine offizielle Website der Firma The Mathworks 
 
MATLAB, Simulink, Stateflow, Handle Graphics, Real-Time Workshop, SimBiology, SimHydraulics, SimEvents, and xPC TargetBox are registered trademarks and The MathWorks, the L-shaped membrane logo, and Embedded MATLAB are trademarks of The MathWorks, Inc.
  
 
 | 
 
 
		 |