WICHTIG: Der Betrieb von goMatlab.de wird privat finanziert fortgesetzt. - Mehr Infos...

Mein MATLAB Forum - goMatlab.de

Mein MATLAB Forum

 
Gast > Registrieren       Autologin?   

Partner:




Forum
      Option
[Erweitert]
  • Diese Seite per Mail weiterempfehlen
     


Gehe zu:  
Neues Thema eröffnen Neue Antwort erstellen

lineare Regression auf semilog

 

Cassk
Forum-Newbie

Forum-Newbie


Beiträge: 1
Anmeldedatum: 03.05.19
Wohnort: ---
Version: ---
     Beitrag Verfasst am: 03.05.2019, 17:13     Titel: lineare Regression auf semilog
  Antworten mit Zitat      
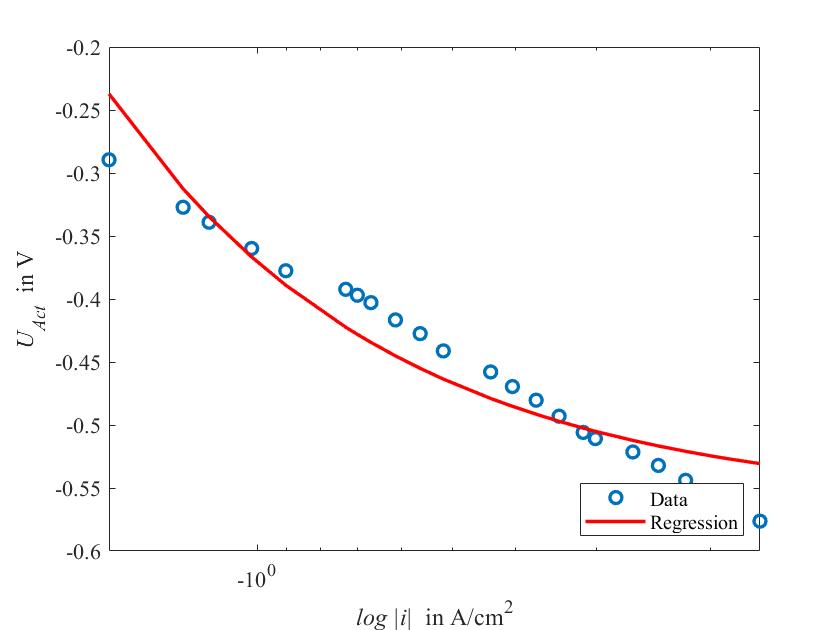
Hallo, ich will mit MATLAB einen lineare Regression auf in einem semilog Diagramm machen. Leider macht Matlab die Regression immer nichtlinear. Kann mir vllt jemand helfen?

Das ist mein Code:

Code:

U_fit_BSZ = [-0.2895,-0.3272,-0.3391,-0.3599,-0.3776,-0.3923,-0.3970,-0.4029,-0.4166,-0.4275,-0.4412,-0.4579,-0.4695,-0.4803,-0.4930,-0.5059,-0.51079,-0.5214,-0.5321,-0.5439,-0.5556,-0.5634,-0.5763;
             0.02030,0.05000,0.06510,0.09550,0.12490,0.18610,0.19920,0.21490,0.24430,0.27500,0.30450,0.36600,0.39440,0.42520,0.45460,0.48500,0.500100,0.54520,0.57460,0.60470,0.63420,0.64890,0.67960];
X_RG_BSZ = log10(U_fit_BSZ(2,:));

x_BSZ = polyfit(X_RG_BSZ,U_fit_BSZ(1,:),1);                                % linear regression
m_BSZ = -x_BSZ(1);                                                         % slope                                                                                    
log_i_0_BSZ = x_BSZ(2)/m_BSZ;                                              % intercept with y-axis
i_0_BSZ = 10^log_i_0_BSZ;


figure(1);
semilogx(X_RG_BSZ, U_fit_BSZ(1,:), 'o', 'color', [0,0.4470,0.7410], 'linewidth',1.7);
hold on;
semilogx(X_RG_BSZ, polyval(x_BSZ,X_RG_BSZ),'-r', 'linewidth',1.7);
hold off;
xlabel('{\itlog |i|}  in A/cm^2', 'fontsize', 11);
ylabel('{\itU_{Act}}  in V', 'fontsize', 11);
set(gca, 'fontsize', 11);
set(gca, 'fontname', 'Times New Roman');
% xlim([-1,1]);
% ylim([-2 ,0.7]);
legend('Data','Regression');
legend('Location','southeast');
hold off;


Anbei noch das Diagramm, das ich erhalte.

Liebe Grüße und vielen lieben Dank!

Plot.jpg
 Beschreibung:
Diagramm

Download
 Dateiname:  Plot.jpg
 Dateigröße:  30.58 KB
 Heruntergeladen:  383 mal
Private Nachricht senden Benutzer-Profile anzeigen


Neues Thema eröffnen Neue Antwort erstellen



Einstellungen und Berechtigungen
Beiträge der letzten Zeit anzeigen:

Du kannst Beiträge in dieses Forum schreiben.
Du kannst auf Beiträge in diesem Forum antworten.
Du kannst deine Beiträge in diesem Forum nicht bearbeiten.
Du kannst deine Beiträge in diesem Forum nicht löschen.
Du kannst an Umfragen in diesem Forum nicht mitmachen.
Du kannst Dateien in diesem Forum posten
Du kannst Dateien in diesem Forum herunterladen
.





 Impressum  | Nutzungsbedingungen  | Datenschutz | FAQ | goMatlab RSS Button RSS

Hosted by:


Copyright © 2007 - 2026 goMatlab.de | Dies ist keine offizielle Website der Firma The Mathworks

MATLAB, Simulink, Stateflow, Handle Graphics, Real-Time Workshop, SimBiology, SimHydraulics, SimEvents, and xPC TargetBox are registered trademarks and The MathWorks, the L-shaped membrane logo, and Embedded MATLAB are trademarks of The MathWorks, Inc.