|
|
|
Lösung eines nichtlinearen Gleichungssystems mit Integralen |
|
| matlab_micha |

Forum-Newbie
|
 |
Beiträge: 1
|
 |
|
 |
Anmeldedatum: 04.12.17
|
 |
|
 |
Wohnort: ---
|
 |
|
 |
Version: ---
|
 |
|
|
 |
|
Verfasst am: 04.12.2017, 12:56
Titel: Lösung eines nichtlinearen Gleichungssystems mit Integralen
|
 |
Hallo liebe Community,
ich bin ein ziemlicher Matlab Neuling und benötige eure Hilfe.
Folgendes Problem:
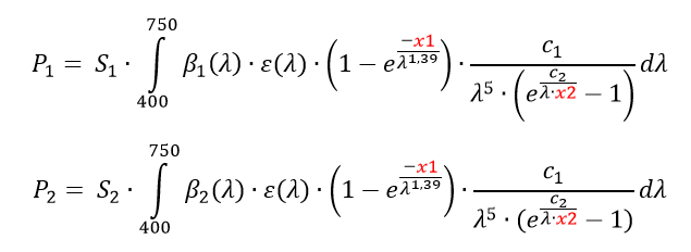
Ich habe ein Gleichungssystem (siehe Anhang) mit zwei Gleichungen die Integrale beinhalten. Es sind zwei unbekannte zu berechnen, x1 und x2.
Beta1, Beta2 und epsilon sind xy Datensätze (Kurven) über die numerisch integriert werden soll.
Die Datensätze sind Arrays (1751x2) vom Datentyp double, haben alle dieselben x-Werte (also gleicher Anfangswert, gleiche Schrittweite und gleicher Endwert), lediglich die y-Werte sind unterschiedlich.
P1, P2, S1, S2, c1, c2 sind Konstanten vom Datentyp double, auch bekannt.
Nun möchte ich x1 und x2 berechnen.
Ich bin über jede Hilfe sehr dankbar.
lg Michael
| Beschreibung: |
|
 Download |
| Dateiname: |
2017-12-04_12h41_33.png |
| Dateigröße: |
12.22 KB |
| Heruntergeladen: |
438 mal |
|
|
|
|
|
|
| optimierer87 |

Forum-Newbie
|
 |
Beiträge: 2
|
 |
|
 |
Anmeldedatum: 16.12.17
|
 |
|
 |
Wohnort: ---
|
 |
|
 |
Version: ---
|
 |
|
|
 |
|
Verfasst am: 16.12.2017, 20:24
Titel:
|
 |
| |
 |
|
Ich möchte dich nicht enttäuschen aber die Aufgabe wirst du in MATLAB wahrscheinlich nicht vernünftig lösen können.
Zumindest hatte ich ein ähnliches Problem.
Ein Integral(x, d) - A = 0
wobei d ein Array war mit Stützposition und Stützwert, wie bei dir auch.
Hab's in MATLAB versucht mit fsolve. Und es sollte mir die x werte so bestimmten das
F = Integral(x,d) - A = 0 ist! Hat leider überhaupt nicht so gut geklappt.
Auch bei Referenzlösungen wo ich die x-Werte hatte gab es immer wieder große Ausreißer.
Die numerische Lösung war nicht zu verifizieren. Der x-Vektor hatte etwa 1000 Einträge.
Statt dessen habe ich dafür COMSOL Multiphysics verwendet. Dieses arbeitet mit Finite Element Technologie und kann neben Differentialgleichungen auch algebraische Integralgleichungssysteme nach deiner gesuchten Variable x räumlich auflösen. Kostet aber auch einige tausend and Lizenzgebühr pro Jahr.
Aber wenn x1 und x2 nur skalare Werte sein sollen dann könnte es mit fsolve klappen.
Wenn x1 und x2 Vektoren mit hunderten und tausenden Einträgen sind dann rate ich zu COMSOL.
|
|
|
|
|
|
|
Einstellungen und Berechtigungen
|
|
Du kannst Beiträge in dieses Forum schreiben. Du kannst auf Beiträge in diesem Forum antworten. Du kannst deine Beiträge in diesem Forum nicht bearbeiten. Du kannst deine Beiträge in diesem Forum nicht löschen. Du kannst an Umfragen in diesem Forum nicht mitmachen. Du kannst Dateien in diesem Forum posten Du kannst Dateien in diesem Forum herunterladen
|
|
Impressum
| Nutzungsbedingungen
| Datenschutz
| FAQ
| RSS
Hosted by:
Copyright © 2007 - 2026
goMatlab.de | Dies ist keine offizielle Website der Firma The Mathworks
MATLAB, Simulink, Stateflow, Handle Graphics, Real-Time Workshop, SimBiology, SimHydraulics, SimEvents, and xPC TargetBox are registered trademarks and The MathWorks, the L-shaped membrane logo, and Embedded MATLAB are trademarks of The MathWorks, Inc.
|
|