|
|
|
Matlab Fourier transformation |
|
| Lab21 |

Forum-Anfänger
|
 |
Beiträge: 38
|
 |
|
 |
Anmeldedatum: 10.11.13
|
 |
|
 |
Wohnort: ---
|
 |
|
 |
Version: ---
|
 |
|
|
 |
|
Verfasst am: 24.11.2013, 15:39
Titel: Matlab Fourier transformation
|
 |
| |
 |
|
Hallo leute ich habe gerade probleme bei einer Aufgabe:
Gegeben seien folgende Signale:
x1(t ) 3sin(50* 2 *pi* t = × p × t ) + 6sin(80* 2pi * t ) + 2sin(200 *2pi * t )
x2 (t ) = sin(50* 2pi *t ) + 6cos(100 *2pi * t ) + 2sin(250 *2pi *t )
Für die Generierung der Signale gelten folgende Parameter:
Gemeinsame Grundfrequenz f0 = 10Hz
Zeitauflösung Dt = 0.1ms (Schrittweite des Zeitvektors)
Anzahl Abtastwerte N = 1000
a) Generieren Sie den Zeitvektor und die Signale x1 und x2. Der letzte Wert des Zeitvektors soll dabei genau end t = N * Dt betragen.
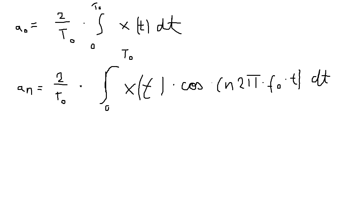
b) Berechnen Sie das Amplituden- und Phasenspektrum der Signale x1 und x2 durch
numerische Integration bis n=25 mithilfe der Formeln
Gleichanteil n=0:
Die formel poste ich als datei:
Stimmt mein Ansatz so?
Mir werden folgende Fehler angezeigt , die ich nicht verstehe warum die mir angezeigt werden .
Undefined function or variable 't'.
Error (line 15)
x1t = 3*sin(50*2*pi*t) + 6*sin(80*2*pi*t)
+2*sin*(200*2*pi*t);
Könnt ihr mir helfen den Fehler zu beseitigen ?
Stimmt mein code inhaltlich?
| Beschreibung: |
|
 Download |
| Dateiname: |
Unbenannt.png |
| Dateigröße: |
16.22 KB |
| Heruntergeladen: |
367 mal |
|
|
|
|
|
|
| Harald |

Forum-Meister
|
 |
Beiträge: 24.502
|
 |
|
 |
Anmeldedatum: 26.03.09
|
 |
|
 |
Wohnort: Nähe München
|
 |
|
 |
Version: ab 2017b
|
 |
|
|
 |
|
Verfasst am: 24.11.2013, 16:10
Titel:
|
 |
Hallo,
t ist nicht bekannt, weil du es nicht definiert hast.
Vielleicht wolltest du statt z = ... eher t = ... schreiben? Ist ja auf der Tastatur nah beieinander. Dann müsstest du die Definition von t aber auch vor die erste Verwendung von t ziehen.
Grüße,
Harald
|
|
|
|
| Lab21 |
Themenstarter

Forum-Anfänger
|
 |
Beiträge: 38
|
 |
|
 |
Anmeldedatum: 10.11.13
|
 |
|
 |
Wohnort: ---
|
 |
|
 |
Version: ---
|
 |
|
|
 |
|
Verfasst am: 24.11.2013, 16:36
Titel:
|
 |
Trotzdem wir mir jetzt der Fehler angezeigt:
Error using sin
Not enough input arguments.
Error in (line 17)
x1t = 3*sin(50*2*pi*t) + 6*sin(80*2*pi*t)
+2*sin*(200*2*pi*t);
Jetzt habe ich noch eine andere frage :
Meine musterlösung sieht so aus:
Warum haben die in der Musterlösung das gemacht ?
Das verstehe ich nicht .
Kann mir das jemand erklären ?
|
|
|
|
| Harald |

Forum-Meister
|
 |
Beiträge: 24.502
|
 |
|
 |
Anmeldedatum: 26.03.09
|
 |
|
 |
Wohnort: Nähe München
|
 |
|
 |
Version: ab 2017b
|
 |
|
|
 |
|
Verfasst am: 24.11.2013, 17:19
Titel:
|
 |
Hallo,
was die Fehlermeldung angeht: schau dir die Zeile mal ganz genau an - insbesondere die sin-Aufrufe, dann solltest du das nun wirklich selbst sehen.
Was die Frage zur Musterlösung angeht: du hast zwei Signale und zu jedem sollen A_i und B_i berechnet werden, wie es nunmal bei Fourierreihen ist.
Grüße,
Harald
|
|
|
|
| Lab21 |
Themenstarter

Forum-Anfänger
|
 |
Beiträge: 38
|
 |
|
 |
Anmeldedatum: 10.11.13
|
 |
|
 |
Wohnort: ---
|
 |
|
 |
Version: ---
|
 |
|
|
 |
|
Verfasst am: 24.11.2013, 17:55
Titel:
|
 |
Ich verstehe immer noch nicht so ganz. Wo liegt der Fehler ?
Ich verstehe aber immer noch nicht warum die das bei der fourierreihe so gerechnet haben.
Kannst du mir das nicht irgendwie bitte erklären ?
|
|
|
|
| Harald |

Forum-Meister
|
 |
Beiträge: 24.502
|
 |
|
 |
Anmeldedatum: 26.03.09
|
 |
|
 |
Wohnort: Nähe München
|
 |
|
 |
Version: ab 2017b
|
 |
|
|
 |
|
Verfasst am: 24.11.2013, 18:15
Titel:
|
 |
Hallo,
| Zitat: |
| Ich verstehe immer noch nicht so ganz. Wo liegt der Fehler ? |
An dem * zwischen dem letzten sin und seinem Argument.
| Zitat: |
Ich verstehe aber immer noch nicht warum die das bei der fourierreihe so gerechnet haben.
Kannst du mir das nicht irgendwie bitte erklären ? |
Schau dir doch mal die Formeln an.
http://de.wikipedia.org/wiki/Fourierreihe#Allgemeine_Form
Grüße,
Harald
|
|
|
|
| Lab21 |
Themenstarter

Forum-Anfänger
|
 |
Beiträge: 38
|
 |
|
 |
Anmeldedatum: 10.11.13
|
 |
|
 |
Wohnort: ---
|
 |
|
 |
Version: ---
|
 |
|
|
 |
|
Verfasst am: 24.11.2013, 18:58
Titel:
|
 |
|
Ich verstehe leider immer noch nicht, warum die nochmal A2 und B2 berechnen ?
|
|
|
|
| Harald |

Forum-Meister
|
 |
Beiträge: 24.502
|
 |
|
 |
Anmeldedatum: 26.03.09
|
 |
|
 |
Wohnort: Nähe München
|
 |
|
 |
Version: ab 2017b
|
 |
|
|
 |
|
Verfasst am: 24.11.2013, 19:34
Titel:
|
 |
Hallo,
weil die Berechnung für zwei verschiedene Signale (x1 und x2) erfolgt.
Zwei Signale, zwei verschiedene Koeffizientensätze --> 4 Befehle.
Grüße,
Harald
|
|
|
|
| Lab21 |
Themenstarter

Forum-Anfänger
|
 |
Beiträge: 38
|
 |
|
 |
Anmeldedatum: 10.11.13
|
 |
|
 |
Wohnort: ---
|
 |
|
 |
Version: ---
|
 |
|
|
 |
|
Verfasst am: 24.11.2013, 20:57
Titel:
|
 |
Puuh ich habe schon wieder eine Fehlermeldung :
Undefined function or variable 'x'.
Error in (line 26)
a(n+1) = 2/T0*trapz(t,x.*cos(n*2*pi*f0*t));
Wie soll ich denn beseitigen?
Tut mir leid dass ich dich wieder nerven muss.
|
|
|
|
| Harald |

Forum-Meister
|
 |
Beiträge: 24.502
|
 |
|
 |
Anmeldedatum: 26.03.09
|
 |
|
 |
Wohnort: Nähe München
|
 |
|
 |
Version: ab 2017b
|
 |
|
|
 |
|
Verfasst am: 24.11.2013, 21:16
Titel:
|
 |
Hallo,
das Problem hatten wir doch schon.
Du solltest schon zumindest aus den Problemen lernen und wie du sie selbst beheben kannst.
Hier: x ist nicht definiert und kann daher nicht verwendet werden. Was könnte denn sinnvoll statt x verwendet werden? Anders gefragt: wie heißen die Signale, von denen du die Fourierreihen berechnen willst?
Grüße,
Harald
|
|
|
|
|
|
|
Einstellungen und Berechtigungen
|
|
Du kannst Beiträge in dieses Forum schreiben. Du kannst auf Beiträge in diesem Forum antworten. Du kannst deine Beiträge in diesem Forum nicht bearbeiten. Du kannst deine Beiträge in diesem Forum nicht löschen. Du kannst an Umfragen in diesem Forum nicht mitmachen. Du kannst Dateien in diesem Forum posten Du kannst Dateien in diesem Forum herunterladen
|
|
Impressum
| Nutzungsbedingungen
| Datenschutz
| FAQ
| RSS
Hosted by:
Copyright © 2007 - 2026
goMatlab.de | Dies ist keine offizielle Website der Firma The Mathworks
MATLAB, Simulink, Stateflow, Handle Graphics, Real-Time Workshop, SimBiology, SimHydraulics, SimEvents, and xPC TargetBox are registered trademarks and The MathWorks, the L-shaped membrane logo, and Embedded MATLAB are trademarks of The MathWorks, Inc.
|
|