| 
 | 
  
	
		 | 
		nicht-lineares kleinste Quadrate Problem | 
		 | 
	 
 
 
| Angie1993 | 
 
  
 
Forum-Newbie
 
 
 | 
 
  | 
Beiträge: 4
 | 
  | 
 
 | 
 
  | 
Anmeldedatum: 22.03.20
 | 
  | 
 
 | 
 
  | 
Wohnort: ---
 | 
  | 
 
 | 
 
  | 
Version: ---
 | 
  | 
 
 | 
 
 
 | 
 
  | 
 
  | 
      
Verfasst am: 22.03.2020, 12:56    
Titel: nicht-lineares kleinste Quadrate Problem
 | 
  | 
 
 
Hallo liebes goMatlab Forum,
 
 
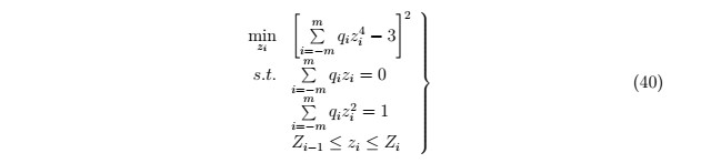
ich suche eine Möglichkeit, ein nicht-lineares kleinste Quadrate Problem in Matlab zu lösen. Das Problem habe ich als Bild angehängt, da das mit dem Formeleditor bei mir nicht funktioniert hat. Ich hoffe das passt trotzdem so.
 
 
 
 
Vielen Dank für eure Hilfe!
 
 
LG
 
Angela
	
  
	
	
		
	 
	
		|  Beschreibung: | 
		
			
		 | 
		  Download | 
	 
	
		|  Dateiname: | 
		 kleinsteQuadrateProblem.jpg | 
	 
	
		|  Dateigröße: | 
		 8.45 KB | 
	 
	
		|  Heruntergeladen: | 
		 504 mal | 
	 
	 
 |   
 | 
 
| 
 | 
 
 
		
		 |  
		
		
		
  
		 | 
		 
		
| Harald | 
 
  
 
Forum-Meister
 
 
 | 
 
  | 
Beiträge: 24.502
 | 
  | 
 
 | 
 
  | 
Anmeldedatum: 26.03.09
 | 
  | 
 
 | 
 
  | 
Wohnort: Nähe München
 | 
  | 
 
 | 
 
  | 
Version: ab 2017b
 | 
  | 
 
 | 
 
 
 | 
 
  | 
 
  | 
      
Verfasst am: 22.03.2020, 13:20    
Titel: 
 | 
  | 
 
 
Hallo,
 
 
da du nichtlineare Nebenbedingungen hast, bleibt nur fmincon. Die Summe der quadrierten Abweichungen ist die Zielfunktion.
 
 
Grüße,
 
Harald
 _________________
  1.) Ask MATLAB Documentation 
 
2.) Search gomatlab.de, google.de or MATLAB Answers
 
3.) Ask Technical Support of MathWorks
 
4.) Go mad, your problem is unsolvable ;)
 |   
 | 
 
| 
 | 
 
 
 
| Angie1993 | 
 
Themenstarter
  
  
 
Forum-Newbie
 
 
 | 
 
  | 
Beiträge: 4
 | 
  | 
 
 | 
 
  | 
Anmeldedatum: 22.03.20
 | 
  | 
 
 | 
 
  | 
Wohnort: ---
 | 
  | 
 
 | 
 
  | 
Version: ---
 | 
  | 
 
 | 
 
 
 | 
 
  | 
 
  | 
      
Verfasst am: 22.03.2020, 15:12    
Titel: 
 | 
  | 
 
 
 
	  | Harald hat Folgendes geschrieben: | 
	 
	
	  Hallo,
 
 
da du nichtlineare Nebenbedingungen hast, bleibt nur fmincon. Die Summe der quadrierten Abweichungen ist die Zielfunktion.
 
 
Grüße,
 
Harald | 
	 
 
 
 
Vielen Dank Harald, für die super schnelle Antwort. 
 
Ich denke, das bekomme ich hin. Nun nur noch die Frage:
 
Wie finde ich einen guten Startpunkt? Hast du dazu eine Idee?
 
 
LG
 |   
 | 
 
| 
 | 
 
 
 
| Harald | 
 
  
 
Forum-Meister
 
 
 | 
 
  | 
Beiträge: 24.502
 | 
  | 
 
 | 
 
  | 
Anmeldedatum: 26.03.09
 | 
  | 
 
 | 
 
  | 
Wohnort: Nähe München
 | 
  | 
 
 | 
 
  | 
Version: ab 2017b
 | 
  | 
 
 | 
 
 
 | 
 
  | 
 
  | 
      
Verfasst am: 22.03.2020, 15:26    
Titel: 
 | 
  | 
 
 
Hallo,
 
 
ohne besseres Wissen würde ich mal mit 
 
 
 
anfangen.
 
 
Wie groß ist m? Wenn m überschaubar ist, kann man auch jedes   mal auf die obere und mal auf die untere Grenze setzen und schauen, ob das immer zum gleichen Optimum konvergiert.
 
 
Grüße,
 
Harald
 _________________
  1.) Ask MATLAB Documentation 
 
2.) Search gomatlab.de, google.de or MATLAB Answers
 
3.) Ask Technical Support of MathWorks
 
4.) Go mad, your problem is unsolvable ;)
 |   
 | 
 
| 
 | 
 
 
 
| Angie1993 | 
 
Themenstarter
  
  
 
Forum-Newbie
 
 
 | 
 
  | 
Beiträge: 4
 | 
  | 
 
 | 
 
  | 
Anmeldedatum: 22.03.20
 | 
  | 
 
 | 
 
  | 
Wohnort: ---
 | 
  | 
 
 | 
 
  | 
Version: ---
 | 
  | 
 
 | 
 
 
 | 
 
  | 
 
  | 
      
Verfasst am: 22.03.2020, 15:29    
Titel: 
 | 
  | 
 
 
 
	  | Harald hat Folgendes geschrieben: | 
	 
	
	  Hallo,
 
 
ohne besseres Wissen würde ich mal mit 
 
 
 
anfangen.
 
 
Wie groß ist m? Wenn m überschaubar ist, kann man auch jedes   mal auf die obere und mal auf die untere Grenze setzen und schauen, ob das immer zum gleichen Optimum konvergiert.
 
 
Grüße,
 
Harald | 
	 
 
 
 
m ist variabel. also insgesamt ist alles eingebettet in einen großen Algorithmus, der für verschiedene Parameter funktionieren soll.
 
 
Ist es für fmincon notwendig, dass der Startwert bereits zulässig ist?
 |   
 | 
 
| 
 | 
 
 
 
| Harald | 
 
  
 
Forum-Meister
 
 
 | 
 
  | 
Beiträge: 24.502
 | 
  | 
 
 | 
 
  | 
Anmeldedatum: 26.03.09
 | 
  | 
 
 | 
 
  | 
Wohnort: Nähe München
 | 
  | 
 
 | 
 
  | 
Version: ab 2017b
 | 
  | 
 
 | 
 
 
 | 
 
  | 
 
  | 
      
Verfasst am: 22.03.2020, 15:35    
Titel: 
 | 
  | 
 
 
Hallo,
 
 
nicht notwendig, lediglich hilfreich.
 
fmincon wird ausgehend vom Startpunkt selbst versuchen, einen zulässigen Punkt zu finden. Wenn dies nicht möglich ist, wird exitflag = -2 zurückgegeben werden.
 
 
Grüße,
 
Harald
 _________________
  1.) Ask MATLAB Documentation 
 
2.) Search gomatlab.de, google.de or MATLAB Answers
 
3.) Ask Technical Support of MathWorks
 
4.) Go mad, your problem is unsolvable ;)
 |   
 | 
 
| 
 | 
 
 
 
| Angie1993 | 
 
Themenstarter
  
  
 
Forum-Newbie
 
 
 | 
 
  | 
Beiträge: 4
 | 
  | 
 
 | 
 
  | 
Anmeldedatum: 22.03.20
 | 
  | 
 
 | 
 
  | 
Wohnort: ---
 | 
  | 
 
 | 
 
  | 
Version: ---
 | 
  | 
 
 | 
 
 
 | 
 
  | 
 
  | 
      
Verfasst am: 22.03.2020, 16:04    
Titel: 
 | 
  | 
 
 
| 
Hat super funktioniert. Vielen Dank!
 |   
 | 
 
| 
 | 
 
 
 
 
 
  
 | 
  
 | 
 
| 
Einstellungen und Berechtigungen
 | 
 
 
 | 
Du kannst Beiträge in dieses Forum schreiben. Du kannst auf Beiträge in diesem Forum antworten. Du kannst deine Beiträge in diesem Forum nicht bearbeiten. Du kannst deine Beiträge in diesem Forum nicht löschen. Du kannst an Umfragen in diesem Forum nicht mitmachen. Du kannst Dateien in diesem Forum posten Du kannst Dateien in diesem Forum herunterladen 
 | 
 
 
 
 |  
 
 
  Impressum
 | Nutzungsbedingungen
 | Datenschutz
 | FAQ
 |   RSS
  
  
  Hosted by: 
 
  
  
Copyright © 2007 - 2025
goMatlab.de | Dies ist keine offizielle Website der Firma The Mathworks 
 
MATLAB, Simulink, Stateflow, Handle Graphics, Real-Time Workshop, SimBiology, SimHydraulics, SimEvents, and xPC TargetBox are registered trademarks and The MathWorks, the L-shaped membrane logo, and Embedded MATLAB are trademarks of The MathWorks, Inc.
  
 
 | 
 
 
		 |