|
|
|
Nummerische Integration einer Funktion |
|
| volcomsmile |

Forum-Newbie
|
 |
Beiträge: 1
|
 |
|
 |
Anmeldedatum: 14.10.14
|
 |
|
 |
Wohnort: ---
|
 |
|
 |
Version: ---
|
 |
|
|
 |
|
Verfasst am: 14.10.2014, 14:15
Titel: Nummerische Integration einer Funktion
|
 |
Guten Tag,
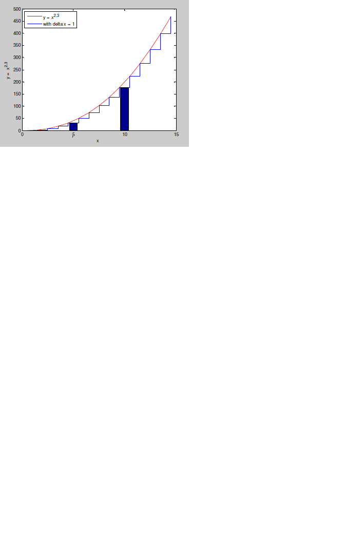
ich habe eben erst Angefangen mit MathLab und stehe vor der Aufgabe eine nummerische Integration einer Funktion durchzuführen
die Funktion lautet y=x^(2.3)
Integriert werden soll von x = 0.5 und x = 15 dabei solle die Summation durch eine Schleife durchgeführt werden.
bei der Integration soll dx veränderlich sein als Eingabeparameter
anbei ein Bild der Aufgabenstellung
[URL=http://www.bilder-upload.eu/show.php?file=8f64cf-1413292499.png]
x=0.5:1:15;
y=x.^(2.3);
area = trapz(x,y)
deltax=0.5;
figure (1)
plot (y, 'r')
hold on
legend ('Location', 'northwest','y=x^23')
ich würde mich über Lösungsansätze freuen
| Beschreibung: |
|
 Download |
| Dateiname: |
Unbenannt.png |
| Dateigröße: |
13.77 KB |
| Heruntergeladen: |
265 mal |
|
|
|
|
|
|
|
|
|
Einstellungen und Berechtigungen
|
|
Du kannst Beiträge in dieses Forum schreiben. Du kannst auf Beiträge in diesem Forum antworten. Du kannst deine Beiträge in diesem Forum nicht bearbeiten. Du kannst deine Beiträge in diesem Forum nicht löschen. Du kannst an Umfragen in diesem Forum nicht mitmachen. Du kannst Dateien in diesem Forum posten Du kannst Dateien in diesem Forum herunterladen
|
|
Impressum
| Nutzungsbedingungen
| Datenschutz
| FAQ
| RSS
Hosted by:
Copyright © 2007 - 2026
goMatlab.de | Dies ist keine offizielle Website der Firma The Mathworks
MATLAB, Simulink, Stateflow, Handle Graphics, Real-Time Workshop, SimBiology, SimHydraulics, SimEvents, and xPC TargetBox are registered trademarks and The MathWorks, the L-shaped membrane logo, and Embedded MATLAB are trademarks of The MathWorks, Inc.
|
|