WICHTIG: Der Betrieb von goMatlab.de wird privat finanziert fortgesetzt. - Mehr Infos...

Mein MATLAB Forum - goMatlab.de

Mein MATLAB Forum

 
Gast > Registrieren       Autologin?   

Partner:




Forum
      Option
[Erweitert]
  • Diese Seite per Mail weiterempfehlen
     


Gehe zu:  
Neues Thema eröffnen Neue Antwort erstellen

ODE mit zeitabhängigem Parameter

 

tone01

Gast


Beiträge: ---
Anmeldedatum: ---
Wohnort: ---
Version: ---
     Beitrag Verfasst am: 05.01.2014, 14:10     Titel: ODE mit zeitabhängigem Parameter
  Antworten mit Zitat      
Hallo liebe Community,

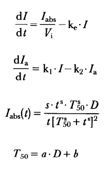
ich versuche ein ODE - Problem zu lösen, das eine zeitabhängige Variable beinhaltet (I_abs). Ich habe schon viele Foren durchsucht und auch Lösungsvorschläge gefunden, was unter Anderem auch die Options des ode45 betrifft. Allerdings hilft mir das leider nicht weiter. Ich hoffe mit diesem Post weiter zu kommen. Ich erhalte Lösungen die leider nicht ganz meinen Erwartungen entsprechen. Der Plot von I_p sollte ansteigen und anschließend wieder abklingen, was leider nicht der Fall ist.

Die Gleichungen sowie ein Beispielplot sind in den angehängten Bildern enthalten.

Über Tips wäre ich sehr dankbar.

Hier ist mein Code:

Code:
%


function dI = ins_diff(t,I)


a = 0.15/60;
b = 6.65/60;
s = 2;
D = 20;

V_i = 0.142;

ke = (5.4/60);
k1 = 0.025;
k2 = 0.021;


T_50 = (a*D)+b;                                                  % (4)

I_abs = zeros(240,1);
for i=1:240

 %I_abs(i) = 0;
    I_abs(i) = (s*(i^s)*(T_50^s)*D)/(V_i*i*(T_50^s+i^s)^2);      % (3)
       
    assignin('base','I_abs',I_abs);  
   
    dI(1) = (I_abs(i)/V_i*70)-(ke*I(1))*exp(-5);                 % I(1) = I_p
    dI(2) = (k1*I(1))-(k2*I(2));                                         % I(2) = I_a

    dI = [dI(1);dI(2)];

end

 


Ausgeführt wird das mit folgendem Code:

Code:
%

minutes = 60
i1 = minutes*3;
i2 = minutes*14;

[t1diff,I1diff] = ode45('ins_diff',[0 abs(i2-i1)],[0 0]);

I1diff1 = I1diff(:,1)
I1diff2 = I1diff(:,2)

subplot(4,1,2)                
plot([I1diff(:,1)]);

subplot(4,1,3)                
plot([I1diff(:,2)]);

 


Ich habe schon viele Vaianten auch außerhalb der Schleife getestet, was allerdings nicht geholfen hat.

Danke vielmals.

Grüße

tone01

beispiel.PNG
 Beschreibung:

Download
 Dateiname:  beispiel.PNG
 Dateigröße:  1.54 KB
 Heruntergeladen:  359 mal
gleichungen.png
 Beschreibung:

Download
 Dateiname:  gleichungen.png
 Dateigröße:  11.22 KB
 Heruntergeladen:  382 mal


Harald
Forum-Meister

Forum-Meister


Beiträge: 24.502
Anmeldedatum: 26.03.09
Wohnort: Nähe München
Version: ab 2017b
     Beitrag Verfasst am: 05.01.2014, 14:17     Titel:
  Antworten mit Zitat      
Hallo,

was ist der Sinn davon, I_abs in einer for-Schleife auszurechnen?
dI wird hier in jeder Iteration überschrieben.

Die Funktion nimmt ja t und I entgegen. Du brauchst die Rückgabe nur für dieses eine t und I zu berechnen. ode45 ruft die Funktion dann selbst für verschiedene Eingabeargumente auf.

Grüße,
Harald
Private Nachricht senden Benutzer-Profile anzeigen
 
tone01

Gast


Beiträge: ---
Anmeldedatum: ---
Wohnort: ---
Version: ---
     Beitrag Verfasst am: 05.01.2014, 14:45     Titel:
  Antworten mit Zitat      
Hallo Harald,

danke für die schnelle Antwort.

Bei I_abs handelt es sich um eine Absorbtionsrate. Ich möchte diese in die DGL einfließen lassen. Ich weiß was du meinst, leider hapert es in der Umsetzung. Ich bin mir sicher dass es nur ein kleiner Denkfehler ist.

Danke und Grüße

tone01
 
Harald
Forum-Meister

Forum-Meister


Beiträge: 24.502
Anmeldedatum: 26.03.09
Wohnort: Nähe München
Version: ab 2017b
     Beitrag Verfasst am: 05.01.2014, 14:52     Titel:
  Antworten mit Zitat      
Hallo,

vielleicht mal eine Rückfrage: was genau soll t^s in der Gleichung heißen?

Grüße,
Harald
Private Nachricht senden Benutzer-Profile anzeigen
 
tone01

Gast


Beiträge: ---
Anmeldedatum: ---
Wohnort: ---
Version: ---
     Beitrag Verfasst am: 05.01.2014, 15:53     Titel:
  Antworten mit Zitat      
Ich weiß, t^s beschreibt die Abhängigkeit vom gleichen t. Der Exponent s ist nur irgendein spezifischer Parameter. Es ist ja nicht so dass ich es noch nicht versucht hätte. Ich bekomme leider kein vernünftiges Ergebnis (mit und ohne Schleife ...)

Error ohne Loop:
Attempted to access (0); index must be a positive integer or logical.

Vielleicht ist auch der Ansatz falsch
 
Harald
Forum-Meister

Forum-Meister


Beiträge: 24.502
Anmeldedatum: 26.03.09
Wohnort: Nähe München
Version: ab 2017b
     Beitrag Verfasst am: 05.01.2014, 16:38     Titel:
  Antworten mit Zitat      
Hallo,

ich frag mal anders: was ist der Unterschied zwischen t^s und t ohne s?
Wenn man die Gleichungen so schreibt, wird man sich ja was dabei denken.

Bitte poste den neuen Code. Ansonsten kann man dir nicht bei der Fehlerbehebung helfen.

Hast du es selbst schon mit dem Debugger versucht?

Grüße,
Harald
Private Nachricht senden Benutzer-Profile anzeigen
 
tone01

Gast


Beiträge: ---
Anmeldedatum: ---
Wohnort: ---
Version: ---
     Beitrag Verfasst am: 05.01.2014, 21:58     Titel:
  Antworten mit Zitat      
Sarkasmus ist nett, jedoch spielt es bei meiner Fragestellung ja keine Rolle ob ein s im Exponent steht oder nicht.

Wie auch immer ... Gleichung I_abs wurde mit in das System übernommen und alles noch etwas umgeschrieben. Funktioniert...

Es hätte ja aber sein können dass es noch eine bessere Methode gibt


Der Thread kann gerne entfernt werden.



Trotzdem danke.
 
Neues Thema eröffnen Neue Antwort erstellen



Einstellungen und Berechtigungen
Beiträge der letzten Zeit anzeigen:

Du kannst Beiträge in dieses Forum schreiben.
Du kannst auf Beiträge in diesem Forum antworten.
Du kannst deine Beiträge in diesem Forum nicht bearbeiten.
Du kannst deine Beiträge in diesem Forum nicht löschen.
Du kannst an Umfragen in diesem Forum nicht mitmachen.
Du kannst Dateien in diesem Forum posten
Du kannst Dateien in diesem Forum herunterladen
.





 Impressum  | Nutzungsbedingungen  | Datenschutz | FAQ | goMatlab RSS Button RSS

Hosted by:


Copyright © 2007 - 2026 goMatlab.de | Dies ist keine offizielle Website der Firma The Mathworks

MATLAB, Simulink, Stateflow, Handle Graphics, Real-Time Workshop, SimBiology, SimHydraulics, SimEvents, and xPC TargetBox are registered trademarks and The MathWorks, the L-shaped membrane logo, and Embedded MATLAB are trademarks of The MathWorks, Inc.