|
|
|
perm.Synchronmotor soll einen vorgegebenen Winkel fahren |
|
| hans007 |
Gast
|
 |
Beiträge: ---
|
 |
|
 |
Anmeldedatum: ---
|
 |
|
 |
Wohnort: ---
|
 |
|
 |
Version: ---
|
 |
|
|
 |
|
Verfasst am: 04.12.2014, 23:15
Titel: perm.Synchronmotor soll einen vorgegebenen Winkel fahren
|
 |
Hallo
bin schon eine weile am überlegen wie ich einen permanent erregten Motor so regle bzw steuere, dass er einen bestimmten Muster folgt.
Beispiel wäre ein Lenkrad der Motor ersetzt den Fahrer. Der Motor soll nun einen Lenkwinkel in sinus abfahren mit einer amplitude von z.B+-20°
Motor modellieren ist kein Problem. Bloß wie bekomme ich des hin das ich den Strom bzw. Spannung so einstelle das der Motor dieses vorgeben Winkelmuster abfährt. Also mein erster Gedanke war eine Regelung.
Wollte dann aus den Grundgleichungen zurück rechnen bin allerdings dann bei den Strömen id und iq hängen geblieben.
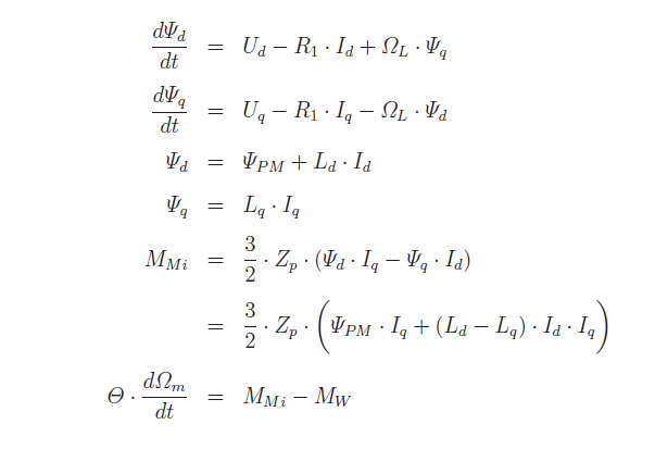
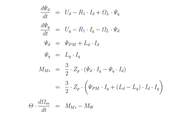
Motorgleichungen im Anhang
bin dankebar für jeden sinnvolle Rückmeldung
| Beschreibung: |
|
 Download |
| Dateiname: |
Untitled.png |
| Dateigröße: |
22.08 KB |
| Heruntergeladen: |
826 mal |
| Beschreibung: |
|
 Download |
| Dateiname: |
Untitled.png |
| Dateigröße: |
22.08 KB |
| Heruntergeladen: |
807 mal |
|
|
|
|
|
|
| Epfi |

Forum-Meister
|
 |
Beiträge: 1.134
|
 |
|
 |
Anmeldedatum: 08.01.09
|
 |
|
 |
Wohnort: ---
|
 |
|
 |
Version: ---
|
 |
|
|
 |
|
Verfasst am: 07.12.2014, 11:06
Titel:
|
 |
Wenn das ein Screenshot aus dem Schröder ist, kannst Du ein paar Seiten weiterblättern, da steht dann auch die Regelung ;)
Falls nicht, ist das Stichwort, das Du suchst "Feldorientierte Regelung der Synchronmaschine", die musst Du nicht neu erfinden, die gibt es schon. Muss man nur abmalen...
Für den Fall, dass Du das an einem Prüfstand umsetzen sollst, wirst Du Dich auch noch mit Koordinatentransformationen (Park-Transformation) befassen müssen. Außerdem sollte Deine Maschine mit einem Lagegeber ausgestattet sein, da sensorlose Regelungen bei Stillstand nur begrenzt gut funktionieren...
|
|
|
|
|
|
|
Einstellungen und Berechtigungen
|
|
Du kannst Beiträge in dieses Forum schreiben. Du kannst auf Beiträge in diesem Forum antworten. Du kannst deine Beiträge in diesem Forum nicht bearbeiten. Du kannst deine Beiträge in diesem Forum nicht löschen. Du kannst an Umfragen in diesem Forum nicht mitmachen. Du kannst Dateien in diesem Forum posten Du kannst Dateien in diesem Forum herunterladen
|
|
Impressum
| Nutzungsbedingungen
| Datenschutz
| FAQ
| RSS
Hosted by:
Copyright © 2007 - 2026
goMatlab.de | Dies ist keine offizielle Website der Firma The Mathworks
MATLAB, Simulink, Stateflow, Handle Graphics, Real-Time Workshop, SimBiology, SimHydraulics, SimEvents, and xPC TargetBox are registered trademarks and The MathWorks, the L-shaped membrane logo, and Embedded MATLAB are trademarks of The MathWorks, Inc.
|
|