WICHTIG: Der Betrieb von goMatlab.de wird privat finanziert fortgesetzt. - Mehr Infos...

Mein MATLAB Forum - goMatlab.de

Mein MATLAB Forum

 
Gast > Registrieren       Autologin?   

Partner:




Forum
      Option
[Erweitert]
  • Diese Seite per Mail weiterempfehlen
     


Gehe zu:  
Neues Thema eröffnen Neue Antwort erstellen

Plot einer RBF-Interpolation

 

Patrick1990
Forum-Fortgeschrittener

Forum-Fortgeschrittener


Beiträge: 51
Anmeldedatum: 25.02.13
Wohnort: Thüringen
Version: 2015b
     Beitrag Verfasst am: 20.10.2015, 15:01     Titel: Plot einer RBF-Interpolation
  Antworten mit Zitat      
Hallo,

ich habe folgendes Problem.

Ich habe ein Script zur Berechnung einer RBF-Interpolation (siehe Anhang) geschrieben, weiß jedoch nocht nicht so richtig, wie ich die Funktion s(x) plotten soll.

Ich habe nun zuerst den ersten Teil betrachtet:
s(x)=\sum_{i=1}^N\omega_i\phi\left(\left|\left|x-x_i \right|\right|_2\right)

(besser zu erkennen im Anhang)

Für das x_i habe ich jeweils meine Werte x_i=[x_i y_i]^T eingesetzt.
Für das x war es mir nun jedoch unklar...

Ich habe das wie folgt gemacht:
Code:
x=linspace(0,0.1,14);
y=linspace(-0.05,0.005,14);

probe=[x;y];


Webei Probe hier mein Vektor x ist.
Ich denke jedoch, dass das nicht korrekt ist.

Teil zwei der Gleichung (das Polynom) p(x) habe ich wie folgt realisiert:

Code:
[xi, yi]=meshgrid(x,y);

p=a0+ax*xi+ay*yi;
 


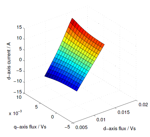
Ich verwende meshgrid, da ein 3D Plot (siehe Anhang) herauskommen soll. Leider ist mein Plot immer nur linear, deshalb kann da was nicht stimmen. Ich müsste eigentlich eine Krümmung erkennen können.

Könnt ihr mir helfen?

04.png
 Beschreibung:
Plot

Download
 Dateiname:  04.png
 Dateigröße:  50.41 KB
 Heruntergeladen:  417 mal
03.png
 Beschreibung:
Problematik

Download
 Dateiname:  03.png
 Dateigröße:  36.81 KB
 Heruntergeladen:  422 mal
Private Nachricht senden Benutzer-Profile anzeigen


Winkow
Moderator

Moderator



Beiträge: 3.842
Anmeldedatum: 04.11.11
Wohnort: Dresden
Version: R2014a 2015a
     Beitrag Verfasst am: 20.10.2015, 15:37     Titel:
  Antworten mit Zitat      
wie siht denn deine funktion phi aus? und deine wichtung?
xi un yi sind deine punkte die du bereits hast. x und y die stelle an der du interpolieren willst. du mischt das irgendwie. das finde ich verwirrend.
_________________

richtig Fragen
Private Nachricht senden Benutzer-Profile anzeigen
 
Patrick1990
Themenstarter

Forum-Fortgeschrittener

Forum-Fortgeschrittener


Beiträge: 51
Anmeldedatum: 25.02.13
Wohnort: Thüringen
Version: 2015b
     Beitrag Verfasst am: 20.10.2015, 15:41     Titel:
  Antworten mit Zitat      
Hallo, meine Funktion phi ist wie auf dem Foto zu erkennen:

Code:

function phi2=phi(r);
if r==0
    phi2=0;
else
    phi2=abs((r.^(2*1))).*log10(abs(r));
end
 


Ok, verwirrend ist, dass ich schreibe
Code:
[xi, yi]=meshgrid(x,y);
 


Diese xi, yi haben nichts mit den Werten aus meinem Eingangsvektor x_i zu tun.

Könnte stattdessen xn und yn verwenden.

Vielleicht noch etwas mehr Input:

Code:
%Wichtungen, Koeffizienten
Ed=Z\Fd;
Eq=Z\Fq;
Et=Z\Ft;



x=linspace(0,0.1,14);
y=linspace(-0.05,0.005,14);

[xn, yn]=meshgrid(x,y);

probe=[x;y];

Sd=ones(zeilen,1);
Sq=ones(zeilen,1);
St=ones(zeilen,1);
for i=1:1:zeilen
Sd(i,1)=Ed(i)*phi2(norm(bsxfun(@minus,probe,K(i,:)')));
Sq(i,1)=Eq(i)*phi2(norm(bsxfun(@minus,probe,K(i,:)')));
St(i,1)=Et(i)*phi2(norm(bsxfun(@minus,probe,K(i,:)')));
end;

summed=sum(Sd)+Ed(zeilen+1)+Ed(zeilen+2)*x+Ed(zeilen+3)*y;
summeq=sum(Sq)+Eq(zeilen+1)+Eq(zeilen+2)*xn+Eq(zeilen+3)*yn;
summet=sum(St)+Et(zeilen+1)+Et(zeilen+2)*xn+Et(zeilen+3)*yn;




%PLOTS

figure(1)
hold on
grid on
plot3(x,y,summed)
for i=1:1:zeilen
scatter3(K(i,1),K(i,2),M(i,1),'r*')
end;
view(3)
xlabel('$\psi_d$','interpreter','latex')
ylabel('$\psi_q$','interpreter','latex')
zlabel('$i_d$','interpreter','latex')
set(gca,'FontSize',12);
hold off


Möglicherweise geht die ganze Berechnung auch viel besser, mir kam es erst einmal auf Funktionalität an.
Private Nachricht senden Benutzer-Profile anzeigen
 
Patrick1990
Themenstarter

Forum-Fortgeschrittener

Forum-Fortgeschrittener


Beiträge: 51
Anmeldedatum: 25.02.13
Wohnort: Thüringen
Version: 2015b
     Beitrag Verfasst am: 21.10.2015, 09:04     Titel:
  Antworten mit Zitat      
Hat niemand einen Rat?
Private Nachricht senden Benutzer-Profile anzeigen
 
Jan S
Moderator

Moderator


Beiträge: 11.057
Anmeldedatum: 08.07.10
Wohnort: Heidelberg
Version: 2009a, 2016b
     Beitrag Verfasst am: 21.10.2015, 10:58     Titel:
  Antworten mit Zitat      
Hallo Patrick1990,

Die Forumsregeln sehen ein Bumping erst nach frühestens 24 Stunden vor. Siehe http://www.gomatlab.de/der-kleine-gomatlab-de-knigge-t125.html . Danke!

Jan
Private Nachricht senden Benutzer-Profile anzeigen
 
Neues Thema eröffnen Neue Antwort erstellen



Einstellungen und Berechtigungen
Beiträge der letzten Zeit anzeigen:

Du kannst Beiträge in dieses Forum schreiben.
Du kannst auf Beiträge in diesem Forum antworten.
Du kannst deine Beiträge in diesem Forum nicht bearbeiten.
Du kannst deine Beiträge in diesem Forum nicht löschen.
Du kannst an Umfragen in diesem Forum nicht mitmachen.
Du kannst Dateien in diesem Forum posten
Du kannst Dateien in diesem Forum herunterladen
.





 Impressum  | Nutzungsbedingungen  | Datenschutz | FAQ | goMatlab RSS Button RSS

Hosted by:


Copyright © 2007 - 2026 goMatlab.de | Dies ist keine offizielle Website der Firma The Mathworks

MATLAB, Simulink, Stateflow, Handle Graphics, Real-Time Workshop, SimBiology, SimHydraulics, SimEvents, and xPC TargetBox are registered trademarks and The MathWorks, the L-shaped membrane logo, and Embedded MATLAB are trademarks of The MathWorks, Inc.