|
|
|
Principial Component Analysis für nichtlineares Modell |
|
| Entropie_13 |

Forum-Newbie
|
 |
Beiträge: 5
|
 |
|
 |
Anmeldedatum: 05.02.18
|
 |
|
 |
Wohnort: ---
|
 |
|
 |
Version: ---
|
 |
|
|
 |
|
Verfasst am: 09.02.2018, 17:38
Titel: Principial Component Analysis für nichtlineares Modell
|
 |
| |
 |
|
Hallo,
gibt es in Matlab etwas was man für lineare Regressionsmodelle als Principal Component oder Faktoranalyse bezeichnet? Ich glaube der wesentlich Unterschied zu einem nicht-linearen Optimierungsproblem liegt darin, dass man die Jakobi-Matrix anstatt die Kovarianzmatrix der Beobachtungen verwendet.
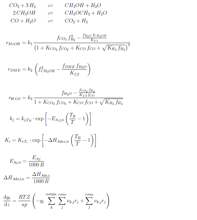
Im Anhang sind die Gleichungen zu meinem Reaktionsmodell für eine chemische Kinetik. r ist die Reaktionsrate (Umsatz eines Stoffes in Menge Stoff / (m^3*s)). Diese taucht auf in der Differentialgleichung dy_i (delta Stoffemengenanteil an allen Stoffen)/ dz (z= Achse eines Reaktors, an dem Stoffe entlangfließen und reagieren). f, p, u, R,T, Z sind extern gegeben oder vom aktuellen y-Wert abhängig. K_substanz, EA_Reaktion, dH_Reaktion und k_Reaktion sind die zu schätzenden Parameter.
Ich besitze einen Datensatz von 240 Experimenten, bei denen y von allen Komponenten bei z = 0 und z = Ausgang am Reaktor bei verschiedenen Temperaturen und Geschwindigkeiten u gemessen wurde. Mit diesem Datensatz will ich die Parameter von dy/dz optimieren.
Aufgrund der vielen Parameter und multiplikativen Verknüpfungen sind die Parameter sicherlich kollinear, weswegen ich nach einer dimensionsreduzierenden Methode für dieses Modell suche. Hat jemand eine Idee?
| Beschreibung: |
|
 Download |
| Dateiname: |
equations.png |
| Dateigröße: |
59.96 KB |
| Heruntergeladen: |
730 mal |
|
|
|
|
|
|
|
|
|
Einstellungen und Berechtigungen
|
|
Du kannst Beiträge in dieses Forum schreiben. Du kannst auf Beiträge in diesem Forum antworten. Du kannst deine Beiträge in diesem Forum nicht bearbeiten. Du kannst deine Beiträge in diesem Forum nicht löschen. Du kannst an Umfragen in diesem Forum nicht mitmachen. Du kannst Dateien in diesem Forum posten Du kannst Dateien in diesem Forum herunterladen
|
|
Impressum
| Nutzungsbedingungen
| Datenschutz
| FAQ
| RSS
Hosted by:
Copyright © 2007 - 2026
goMatlab.de | Dies ist keine offizielle Website der Firma The Mathworks
MATLAB, Simulink, Stateflow, Handle Graphics, Real-Time Workshop, SimBiology, SimHydraulics, SimEvents, and xPC TargetBox are registered trademarks and The MathWorks, the L-shaped membrane logo, and Embedded MATLAB are trademarks of The MathWorks, Inc.
|
|