|
|
|
Probleme mit den Randbedingungen (PDE-solver) |
|
| Mrxxn |

Forum-Anfänger
|
 |
Beiträge: 10
|
 |
|
 |
Anmeldedatum: 02.12.22
|
 |
|
 |
Wohnort: ---
|
 |
|
 |
Version: ---
|
 |
|
|
 |
|
Verfasst am: 01.11.2023, 23:07
Titel: Probleme mit den Randbedingungen (PDE-solver)
|
 |
| |
 |
|
Hallo,
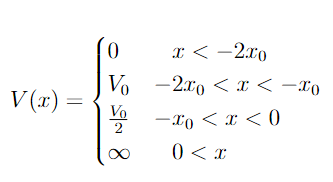
ich versuche zu simulieren, wie ein Elektron mit einem stückweise konstanten Potential interagiert. Dazu möchte ich ein Potential mit den dazugehörigen Randbedingungen betrachten. Ich füge beides als Datei an. Nun muss ich diese Randbedingungen in Matlab implementieren. In der Dokumentation steht es für u(x_L,t) = 0 und u(x_r,t) = 1 z.B. so:
( der allgemeine Ausdruck dazu steht in der Dokumentation:
https://de.mathworks.com/help/matla.....ferential-equations.html)
ich verstehe auch, wie das Konzept dahinter ist. Man muss die Funktionen p,q für jede Stelle finden, an der man Randbedingungen hat. Aber ich schaffe es nicht, meine Randbedingungen richtig zu implementieren, weil die Form anders ist. Bei mir sind ja die Bedingungen an die Funktionen in den verschiedenen Bereichen gestellt, und nicht einfach nur Psi(-2x0) = 0 oder so. Ich habe z.B. pL = uL-uR versucht, aber da kam dann die Fehlermeldung "Spatial discretization has failed. Discretization supports only parabolic and elliptic equations, with flux term involving spatial
derivative. "
Kann mir jemand weiterhelfen?
| Beschreibung: |
|
 Download |
| Dateiname: |
Potential.png |
| Dateigröße: |
9.51 KB |
| Heruntergeladen: |
718 mal |
| Beschreibung: |
|
 Download |
| Dateiname: |
Randbedingungen.png |
| Dateigröße: |
32.62 KB |
| Heruntergeladen: |
709 mal |
|
|
|
|
|
|
|
|
|
Einstellungen und Berechtigungen
|
|
Du kannst Beiträge in dieses Forum schreiben. Du kannst auf Beiträge in diesem Forum antworten. Du kannst deine Beiträge in diesem Forum nicht bearbeiten. Du kannst deine Beiträge in diesem Forum nicht löschen. Du kannst an Umfragen in diesem Forum nicht mitmachen. Du kannst Dateien in diesem Forum posten Du kannst Dateien in diesem Forum herunterladen
|
|
Impressum
| Nutzungsbedingungen
| Datenschutz
| FAQ
| RSS
Hosted by:
Copyright © 2007 - 2026
goMatlab.de | Dies ist keine offizielle Website der Firma The Mathworks
MATLAB, Simulink, Stateflow, Handle Graphics, Real-Time Workshop, SimBiology, SimHydraulics, SimEvents, and xPC TargetBox are registered trademarks and The MathWorks, the L-shaped membrane logo, and Embedded MATLAB are trademarks of The MathWorks, Inc.
|
|