WICHTIG: Der Betrieb von goMatlab.de wird privat finanziert fortgesetzt. - Mehr Infos...

Mein MATLAB Forum - goMatlab.de

Mein MATLAB Forum

 
Gast > Registrieren       Autologin?   

Partner:




Forum
      Option
[Erweitert]
  • Diese Seite per Mail weiterempfehlen
     


Gehe zu:  
Neues Thema eröffnen Neue Antwort erstellen

Programmierung einer diskretisierten Funktion

 

TheFinger
Forum-Anfänger

Forum-Anfänger


Beiträge: 28
Anmeldedatum: 14.05.11
Wohnort: ---
Version: ---
     Beitrag Verfasst am: 25.04.2013, 09:54     Titel: Programmierung einer diskretisierten Funktion
  Antworten mit Zitat      
Hallo zusammen,

ich habe Messwerte aus denen ich ein Längenmaß L bestimmen möchte.
Die ursprüngliche kontinuierliche Definitionsfunktion ist hier unten:


<br />
f(t) = \frac{<u'_l(t) \, u'_l(t+\tau)>}{ u_{rms}^2} \\
<br />
L = \int_0^\infty \! f(t) \, \mathrm{d} t
<br />

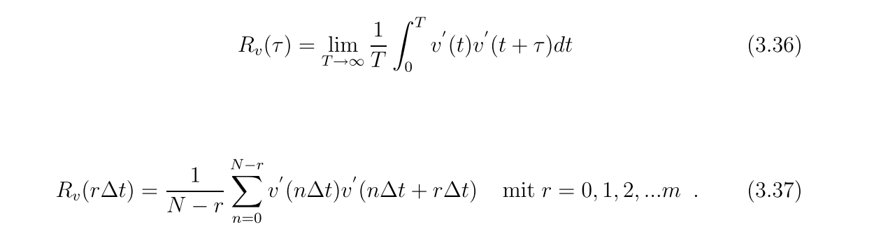
Die Diskretiserung der Formel ist in der Datei "laengenmass.png" und das ist das was ich programmieren möchte.
Meine Messwerte bzw. mein vorhandener Vekor ist u'(Geschwindigkeitsfluktuationen).

Mein Problem besteht darin, dass ich nicht weiß, wie man das richtig programmiert. Das was ich probiert habe, ergibt kein physikalisches Ergebnis, was darauf hindeutet, dass mein Code daneben liegt.
Code:

%% %% %% % % %%% Längenmaß --------------------------------------------------------------------%%

N=30000;                        % Anzahl der Messungen bis zum Überschwinger des CTA
dt=1/f;                         % konstanter Zeitschritt dt in Sekunden

for i=1:nm                      % nm Anzahl der Traversierungen
um(i)=mean(u_1(1:N,i));         % Mittelwert der Geschwindigkeit
u_str(1:N,i)=u_1(1:N,i)-um(i);  % u' Schwankung
end


i=1;
j=1;
m=50;

% for r=0:m
r=0;
    for n=1:3
    R(:,1)=1/(N-r)*xcorr(u_str(n:N,1),u_str(n+r:N,1)); % Gl (3.37) Diss Henze
    assignin ('base',['R_' num2str(n)],R);
    Rr=horzcat(R_1, R);
    clear R;
    end
    tau(j)=r*dt;
    j=j+1;

% end

rho_tau(:,i)=R(:,1)./R(1,1); % Gl (3.38 ) Diss Henze
TI=sum(rho_tau(:,i))*dt;
gamma(i)=um(1,i)*TI; % Gl (3.39) Diss Henze

 



Vielleicht kann mir jemand von euch weiter helfen.

Vielen Dank im Voraus für jede hilfreiche Antwort.

laengenmass.png
 Beschreibung:

Download
 Dateiname:  laengenmass.png
 Dateigröße:  26.83 KB
 Heruntergeladen:  350 mal
Private Nachricht senden Benutzer-Profile anzeigen


Neues Thema eröffnen Neue Antwort erstellen



Einstellungen und Berechtigungen
Beiträge der letzten Zeit anzeigen:

Du kannst Beiträge in dieses Forum schreiben.
Du kannst auf Beiträge in diesem Forum antworten.
Du kannst deine Beiträge in diesem Forum nicht bearbeiten.
Du kannst deine Beiträge in diesem Forum nicht löschen.
Du kannst an Umfragen in diesem Forum nicht mitmachen.
Du kannst Dateien in diesem Forum posten
Du kannst Dateien in diesem Forum herunterladen
.





 Impressum  | Nutzungsbedingungen  | Datenschutz | FAQ | goMatlab RSS Button RSS

Hosted by:


Copyright © 2007 - 2026 goMatlab.de | Dies ist keine offizielle Website der Firma The Mathworks

MATLAB, Simulink, Stateflow, Handle Graphics, Real-Time Workshop, SimBiology, SimHydraulics, SimEvents, and xPC TargetBox are registered trademarks and The MathWorks, the L-shaped membrane logo, and Embedded MATLAB are trademarks of The MathWorks, Inc.