|
|
|
Simulation eines 3Tanks mit ode45 |
|
| ente |
Gast
|
 |
Beiträge: ---
|
 |
|
 |
Anmeldedatum: ---
|
 |
|
 |
Wohnort: ---
|
 |
|
 |
Version: ---
|
 |
|
|
 |
|
Verfasst am: 24.07.2012, 10:46
Titel: Simulation eines 3Tanks mit ode45
|
 |
Hallo ihr,
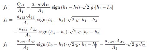
ich versuche die Füllstände eines 3Tanks zu mit der Funktion ode45 zu simulieren und zu plotten. Ich bekomme dabei keine einleuchtenden Ergebnisse und suche den Fehler in der Eingabe der DGL oder im Gebrauch der ode45 Funktion.
Dafür habe ich für jeden Tank eine gegebene Gleichung in der Form:
[h]=[f(h,Q)] wobei Q =Pumpenleistung
Als Bild eingefügt die drei Gleichungen die ich wie folgt in Matlab umgesetzt habe.
Grundflächen der Tanks und Ventile sind identisch (A1,..=Az, A13,..=Sn).
Meine Frage:
Löst ode45 direkt die Frage nach der Höhe? Wenn nein, wie kann ich die aktuelle Höhe in die Berechnung einfließen lassen?
Vielen Dank im Voraus!
| Beschreibung: |
|
 Download |
| Dateiname: |
DGL.JPG |
| Dateigröße: |
20.8 KB |
| Heruntergeladen: |
319 mal |
|
|
|
|
|
|
| Harald |

Forum-Meister
|
 |
Beiträge: 24.502
|
 |
|
 |
Anmeldedatum: 26.03.09
|
 |
|
 |
Wohnort: Nähe München
|
 |
|
 |
Version: ab 2017b
|
 |
|
|
 |
|
Verfasst am: 24.07.2012, 11:47
Titel:
|
 |
Hallo,
auf den ersten Blick: wo sind die sign-Terme aus den Formeln in deiner Implementierung zu sehen?
Was ist an den Ergebnissen nicht einleuchtend?
Aufpassen mit den Einheiten: mal hast du Meter, mal Liter (d.h. Dezimeter) als Längen-/Flächen-/Volumeneinheit.
Grüße,
Harald
|
|
|
|
| ente |
Gast
|
 |
Beiträge: ---
|
 |
|
 |
Anmeldedatum: ---
|
 |
|
 |
Wohnort: ---
|
 |
|
 |
Version: ---
|
 |
|
|
 |
|
Verfasst am: 24.07.2012, 12:24
Titel:
|
 |
| |
 |
|
Danke!-stimmt.
Die sign- Terme habe ich nun ergänzt. Die spielen jedoch nur eine Rolle, wenn folgende Bedingung nicht erfüllt ist:
h1>h3>h2 (entspricht dem aufbau: tank1 wird gefüllt- ventil zu tank3- ventil zu tank2- ventil abfluss)
orientiere mich an folgender praktikumsanleitung:
http://www.uni-kassel.de/ucgi-pub/c.....raktikum/RT-P-C-3Tank.pdf
mir steht der genannte dreitank zur verfügung.
nicht einleuchtend ist das ergebnis der simulation nach den modelgleichungen
anfangsbedingung: alle tanks sind leer, befüllung mit wenig pumpenleistung
das ergebnis der simulation ist ein ruhelage bei der die differenz zwischen h1/h3 identisch mit h3/h2 ist.
in der realität ist das verhältnis von h1/h3 viel kleiner als das von h3/h2.
anders gesagt: t1 ist stark gefüllt, dicht gefolgt von t3 und t2 ist kaum gefüllt
____
wenn ich davon ausgehe, dass die gegebenen modelgleichungen korrekt sind- dann frage ich mich, was ich beim "füttern" der ode45 funktion nicht richtig mache
mfg
|
|
|
|
| ente |
Gast
|
 |
Beiträge: ---
|
 |
|
 |
Anmeldedatum: ---
|
 |
|
 |
Wohnort: ---
|
 |
|
 |
Version: ---
|
 |
|
|
 |
|
Verfasst am: 24.07.2012, 12:26
Titel:
|
 |
sign Terme ergänzt
Einheit der Pumpenleistung (der Faktor korrigiert ltr/s in m³/s)
|
|
|
|
| Harald |

Forum-Meister
|
 |
Beiträge: 24.502
|
 |
|
 |
Anmeldedatum: 26.03.09
|
 |
|
 |
Wohnort: Nähe München
|
 |
|
 |
Version: ab 2017b
|
 |
|
|
 |
|
Verfasst am: 24.07.2012, 13:10
Titel:
|
 |
Hallo,
sofern die Gleichungen stimmen und es keine Fehlermeldungen gibt, passt da von Seiten ode45 an sich alles.
Die Anfangsbedingung ist doch nicht, dass die Tanks leer sind? Da steht 0.04 bis 0.06.
Grüße,
Harald
|
|
|
|
| ente |
Gast
|
 |
Beiträge: ---
|
 |
|
 |
Anmeldedatum: ---
|
 |
|
 |
Wohnort: ---
|
 |
|
 |
Version: ---
|
 |
|
|
 |
|
Verfasst am: 24.07.2012, 13:23
Titel:
|
 |
danke harald,
die startbedingung habe ich für die erklärung geändert.
damit habe ich bei der realen messung "eindeutige" ventilstellungen und höhen.
ich arbeite gerade an den modelparameter.
bis hierhin vielen dank für die rückmeldung!
grüße,
paul
|
|
|
|
|
|
|
Einstellungen und Berechtigungen
|
|
Du kannst Beiträge in dieses Forum schreiben. Du kannst auf Beiträge in diesem Forum antworten. Du kannst deine Beiträge in diesem Forum nicht bearbeiten. Du kannst deine Beiträge in diesem Forum nicht löschen. Du kannst an Umfragen in diesem Forum nicht mitmachen. Du kannst Dateien in diesem Forum posten Du kannst Dateien in diesem Forum herunterladen
|
|
Impressum
| Nutzungsbedingungen
| Datenschutz
| FAQ
| RSS
Hosted by:
Copyright © 2007 - 2026
goMatlab.de | Dies ist keine offizielle Website der Firma The Mathworks
MATLAB, Simulink, Stateflow, Handle Graphics, Real-Time Workshop, SimBiology, SimHydraulics, SimEvents, and xPC TargetBox are registered trademarks and The MathWorks, the L-shaped membrane logo, and Embedded MATLAB are trademarks of The MathWorks, Inc.
|
|