| 
|  
|  | 
| 
 
 
	
		|  | Simulink Wegermittlung aus Beschleunigungssignalen |  |  
 
| 
| Fallow_Falcon |  
|  
 Forum-Newbie
 
 
 
|  |  
|  | Beiträge: 1 |  |  
|  |  
|  | Anmeldedatum: 11.03.21 |  |  
|  |  
|  | Wohnort: --- |  |  
|  |  
|  | Version: --- |  |  
|  |  |  
|  |  | 
|  Verfasst am: 31.05.2021, 11:06    
Titel: Simulink Wegermittlung aus Beschleunigungssignalen |  |  
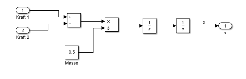
| Hallo Zusammen, ich hätte mal eine Frage bzgl. Simulink. Im angehängten Bild ist der Modellausschnitt zu sehen, der für mich relevant ist. Ich habe zwei simulierte Kräfte, die ich voneinander subtrahieren möchte, um dann nach der Teilung durch die Masse aus der Beschleunigung mittels doppelintegral den Weg einer Komponente zu jedem Zeitpunkt zu ermitteln.
 Mein großes Problem: der entstehende Weg schwingt sich ins unermessliche auf, statt um die x-Achse zu pendeln. Die im Modell genutzten Kräfte verlaufen pendelnd um null und für den Weg sollte theoretisch ein ähnlicher Verlauf herauskommen, tut es aber nicht.
 
 Kann mir evtl. jemand tipps geben, wo der Fehler sein könnte, bzw. ob man noch was wichtiges beachten sollte, damit sich das nicht aufschwingt?
 
 Beste Grüße und Vielen Dank im Voraus!
 
 
 
	
		
	 
		| Beschreibung: |  |  Download
 |  
		| Dateiname: | Forum.PNG |  
		| Dateigröße: | 13.11 KB |  
		| Heruntergeladen: | 402 mal |  |  |  
|  |  |  
		| 
 
 |  
| 
| Harald |  
|  
 Forum-Meister
 
 
 
|  |  
|  | Beiträge: 24.502 |  |  
|  |  
|  | Anmeldedatum: 26.03.09 |  |  
|  |  
|  | Wohnort: Nähe München |  |  
|  |  
|  | Version: ab 2017b |  |  
|  |  |  
|  |  | 
|  Verfasst am: 31.05.2021, 12:09    
Titel: |  |  
| Hallo, 
 ich sehe auf den ersten Blick kein Problem. Für bessere Unterstützung wäre ein reproduzierbares Beispiel hilfreich.
 
 Grüße,
 Harald
 _________________
 
 1.) Ask MATLAB Documentation
 2.) Search gomatlab.de, google.de or MATLAB Answers
 3.) Ask Technical Support of MathWorks
 4.) Go mad, your problem is unsolvable ;)
 |  |  
|  |  
|     
 
 | 
 
 |  
| Einstellungen und Berechtigungen |  
| 
 | Du kannst Beiträge in dieses Forum schreiben. Du kannst auf Beiträge in diesem Forum antworten.
 Du kannst deine Beiträge in diesem Forum nicht bearbeiten.
 Du kannst deine Beiträge in diesem Forum nicht löschen.
 Du kannst an Umfragen in diesem Forum nicht mitmachen.
 Du kannst Dateien in diesem Forum posten
 Du kannst Dateien in diesem Forum herunterladen
 
 |  |  
 Impressum
 | Nutzungsbedingungen
 | Datenschutz
 | FAQ
 |
  RSS 
 Hosted by:
 
   
 Copyright © 2007 - 2025
goMatlab.de | Dies ist keine offizielle Website der Firma The Mathworks
 
 MATLAB, Simulink, Stateflow, Handle Graphics, Real-Time Workshop, SimBiology, SimHydraulics, SimEvents, and xPC TargetBox are registered trademarks and The MathWorks, the L-shaped membrane logo, and Embedded MATLAB are trademarks of The MathWorks, Inc.
 
 
 |  |