|
|
|
surfaceplot hat verschiedene Ergebnisse |
|
| mathfreak |

Forum-Newbie
|
 |
Beiträge: 3
|
 |
|
 |
Anmeldedatum: 11.05.20
|
 |
|
 |
Wohnort: ---
|
 |
|
 |
Version: ---
|
 |
|
|
 |
|
Verfasst am: 11.05.2020, 19:27
Titel: surfaceplot hat verschiedene Ergebnisse
|
 |
Ich möchte gerne die Werte aus einer Matrix T, in der Funktionswerte gespeichert sind als zweidimensionale Fläche plotten.
Dazu verwende ich den Befehl
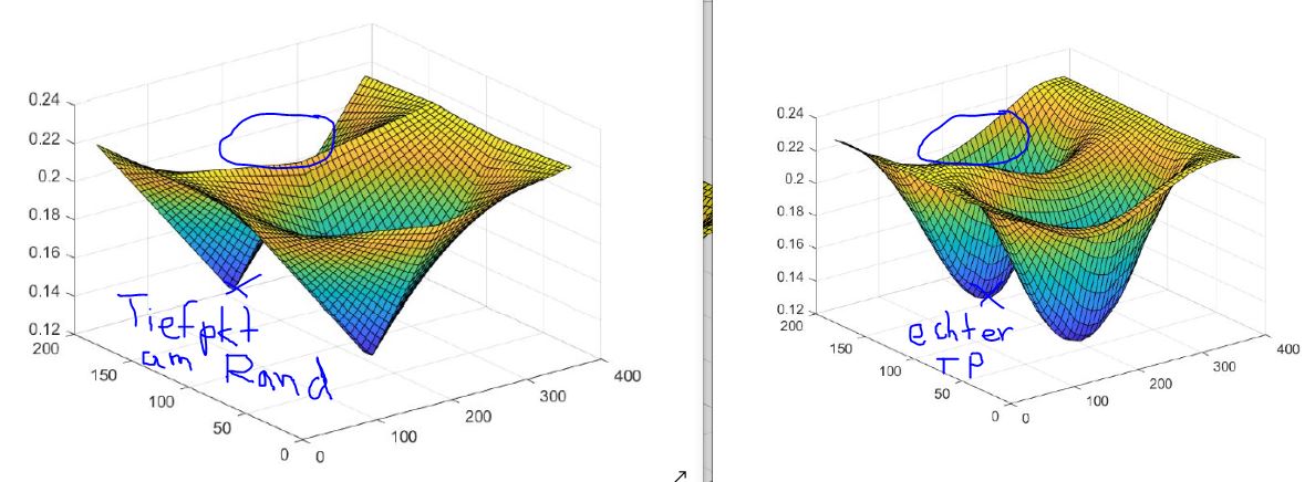
Je nachdem auf welchem Computer ich das Skript ausführe erhalte ich unterschiedliche plots, einen eher kantigen und einen runderen, die sich auch durch die Position ihres Tiefpunkts unterscheiden, an was kann das liegen.
Im Anhang die beiden plots
| Beschreibung: |
|
 Download |
| Dateiname: |
unterschied.JPG |
| Dateigröße: |
86.79 KB |
| Heruntergeladen: |
454 mal |
|
|
|
|
|
|
|
Verfasst am: 13.05.2020, 10:41
Titel:
|
 |
Hallo,
ich habe es mit,
in MATLAB R2020a unter Linux Ubuntu ausprobiert und der resultierende Plot sieht ziemlich glatt aus, wie erwartet (siehe im Anhang).
Könntest du vielleicht die Betriebssysteme und die MATLAB Versionen, die du nutzt, nennen als auch deine Matrix T mitteilen?
Schöne Grüße,
Andreas
| Beschreibung: |
|
 Download |
| Dateiname: |
sinusflaeche.png |
| Dateigröße: |
39.21 KB |
| Heruntergeladen: |
485 mal |
_________________
Dr.-Ing. Andreas Apostolatos
|
|
|
|
| mathfreak |
Themenstarter

Forum-Newbie
|
 |
Beiträge: 3
|
 |
|
 |
Anmeldedatum: 11.05.20
|
 |
|
 |
Wohnort: ---
|
 |
|
 |
Version: ---
|
 |
|
|
 |
|
Verfasst am: 13.05.2020, 19:08
Titel:
|
 |
Hallo Andreas,
vielen Dank für deine Antwort, die Matrix hänge ich an.
Ja, bei dir sieht der plot sehr schön rund aus.
Ich habe gestern herausgefunden, dass bei mir es nicht nur von Computer abhängt wie die Fläche aussieht sondern auch in welchem Ordner ich sie ausführe. Ich habe Windows 10 und Matlab 2019a.
Das vollständige Skript mit einlesen lautet:
| Beschreibung: |
|
 Download |
| Dateiname: |
T.txt |
| Dateigröße: |
393.17 KB |
| Heruntergeladen: |
497 mal |
|
|
|
|
| Harald |

Forum-Meister
|
 |
Beiträge: 24.502
|
 |
|
 |
Anmeldedatum: 26.03.09
|
 |
|
 |
Wohnort: Nähe München
|
 |
|
 |
Version: ab 2017b
|
 |
|
|
 |
|
Verfasst am: 13.05.2020, 19:31
Titel:
|
 |
Hallo,
ich empfehle dringend folgende Änderung:
Andernfalls ist es möglich, dass eine Datei aus einem anderen Verzeichnis als beabsichtigt eingelesen wird, wenn der Anwender beim Auswählen der Datei das Verzeichnis ändert.
Löst dies das Problem?
Grüße,
Harald
_________________
1.) Ask MATLAB Documentation
2.) Search gomatlab.de, google.de or MATLAB Answers
3.) Ask Technical Support of MathWorks
4.) Go mad, your problem is unsolvable ;)
|
|
|
|
| mathfreak |
Themenstarter

Forum-Newbie
|
 |
Beiträge: 3
|
 |
|
 |
Anmeldedatum: 11.05.20
|
 |
|
 |
Wohnort: ---
|
 |
|
 |
Version: ---
|
 |
|
|
 |
|
Verfasst am: 13.05.2020, 19:47
Titel:
|
 |
nein, an der Einleseart etwas zu verbessern hat das Problem leider nicht gelöst
danke trotzdem für den Tipp
|
|
|
|
|
Verfasst am: 13.05.2020, 20:13
Titel:
|
 |
Hallo,
ich habe deinen Code auch auf Windows mit MATLAB R2020a ausprobiert und das Ergebnis ist wieder wie erwartet (sehe im Anhang).
Auf dem ersten Bild, das du gepostet hast, scheint so, dass beide Oberfläche die gleiche Auflösung besitzen. Aus diesem Grund denke ich, dass die Matrix T in beiden Fällen nicht die gleiche ist. Ich bin auch eher in der Seite, dass verschiedene Dateie in beiden Fällen eingelesen werden.
Also, du könntest vielleicht das Skript im gleichen Pfad mit der T.txt Datei speichern und es neu durch den Befehl laufen lassen,
So wird sichergestellt, dass die richtige Datei eingelesen wird.
Viel Erfolg und Schöne Grüße,
Andreas
| Beschreibung: |
|
 Download |
| Dateiname: |
surf_flaeche.png |
| Dateigröße: |
94.67 KB |
| Heruntergeladen: |
483 mal |
_________________
Dr.-Ing. Andreas Apostolatos
|
|
|
|
|
|
|
Einstellungen und Berechtigungen
|
|
Du kannst Beiträge in dieses Forum schreiben. Du kannst auf Beiträge in diesem Forum antworten. Du kannst deine Beiträge in diesem Forum nicht bearbeiten. Du kannst deine Beiträge in diesem Forum nicht löschen. Du kannst an Umfragen in diesem Forum nicht mitmachen. Du kannst Dateien in diesem Forum posten Du kannst Dateien in diesem Forum herunterladen
|
|
Impressum
| Nutzungsbedingungen
| Datenschutz
| FAQ
| RSS
Hosted by:
Copyright © 2007 - 2026
goMatlab.de | Dies ist keine offizielle Website der Firma The Mathworks
MATLAB, Simulink, Stateflow, Handle Graphics, Real-Time Workshop, SimBiology, SimHydraulics, SimEvents, and xPC TargetBox are registered trademarks and The MathWorks, the L-shaped membrane logo, and Embedded MATLAB are trademarks of The MathWorks, Inc.
|
|