|
|
|
Transformation und Simulation von Zufallsvariablen |
|
| mmxooi |

Forum-Newbie
|
 |
Beiträge: 4
|
 |
|
 |
Anmeldedatum: 16.01.21
|
 |
|
 |
Wohnort: ---
|
 |
|
 |
Version: ---
|
 |
|
|
 |
|
Verfasst am: 28.01.2021, 20:27
Titel: Transformation und Simulation von Zufallsvariablen
|
 |
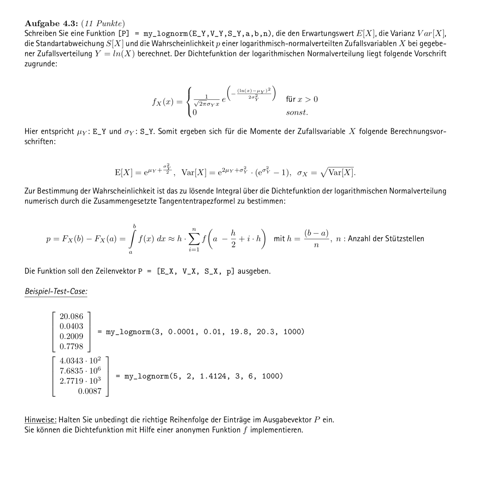
Hallöchen Leute!
Ich habe folgende Aufgabe und meine Lösung dafür. Kann jemand mir sagen, woran liegt mein Fehler, um volle Punkte zu bekommen?
Dankeschön!
LG
| Beschreibung: |
|
 Download |
| Dateiname: |
matlab 4.3punkte.png |
| Dateigröße: |
333.27 KB |
| Heruntergeladen: |
365 mal |
| Beschreibung: |
|
 Download |
| Dateiname: |
matlab 4.3.png |
| Dateigröße: |
294.72 KB |
| Heruntergeladen: |
382 mal |
_________________
MX
|
|
|
|
|
|
| Harald |

Forum-Meister
|
 |
Beiträge: 24.502
|
 |
|
 |
Anmeldedatum: 26.03.09
|
 |
|
 |
Wohnort: Nähe München
|
 |
|
 |
Version: ab 2017b
|
 |
|
|
 |
|
Verfasst am: 01.02.2021, 11:04
Titel:
|
 |
Hallo,
poste Code bitte als Text, damit man ihn ausführen kann ohne ihn abzutippen.
In der Angabe sind 2 Testfälle, in deinem Screenshot 4 Ausgaben. Eine der Ausgaben passt gut zu einem Testfall, aber was ist mit den anderen 3 Ausgaben? Wie werden diese erzeugt?
Grüße,
Harald
_________________
1.) Ask MATLAB Documentation
2.) Search gomatlab.de, google.de or MATLAB Answers
3.) Ask Technical Support of MathWorks
4.) Go mad, your problem is unsolvable ;)
|
|
|
|
|
|
|
Einstellungen und Berechtigungen
|
|
Du kannst Beiträge in dieses Forum schreiben. Du kannst auf Beiträge in diesem Forum antworten. Du kannst deine Beiträge in diesem Forum nicht bearbeiten. Du kannst deine Beiträge in diesem Forum nicht löschen. Du kannst an Umfragen in diesem Forum nicht mitmachen. Du kannst Dateien in diesem Forum posten Du kannst Dateien in diesem Forum herunterladen
|
|
Impressum
| Nutzungsbedingungen
| Datenschutz
| FAQ
| RSS
Hosted by:
Copyright © 2007 - 2026
goMatlab.de | Dies ist keine offizielle Website der Firma The Mathworks
MATLAB, Simulink, Stateflow, Handle Graphics, Real-Time Workshop, SimBiology, SimHydraulics, SimEvents, and xPC TargetBox are registered trademarks and The MathWorks, the L-shaped membrane logo, and Embedded MATLAB are trademarks of The MathWorks, Inc.
|
|