|
|
|
Unendliche Reihe programmieren bei Simulation |
|
| crackheinzi.n |

Forum-Newbie
|
 |
Beiträge: 9
|
 |
|
 |
Anmeldedatum: 04.03.15
|
 |
|
 |
Wohnort: ---
|
 |
|
 |
Version: ---
|
 |
|
|
 |
|
Verfasst am: 04.03.2015, 14:40
Titel: Unendliche Reihe programmieren bei Simulation
|
 |
Moin moin,
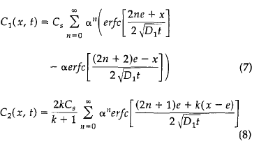
also ich will erstmal grob beschreiben worum es geht. Ich soll den Chloridtransport durch 2 Betonschichten programmieren.
Die Formel für die erste und zweite Schicht habe ich angehängt.
Mein Problem ist jetzt wie ich die unendliche Summe von n=0 bis Unendlich programmieren soll. Mit einer Schleife geht es ja schlecht.
In dem Code habe ich versucht die Reihe mit symsum zu erstellen, aber das funktioniert nicht wie ich das gerne hätte :D
| Beschreibung: |
| alle Variablen sind bekannt, außer n die über die Summenreihe geht. |
|
 Download |
| Dateiname: |
Formel.png |
| Dateigröße: |
9.4 KB |
| Heruntergeladen: |
412 mal |
|
|
|
|
|
|
| Harald |

Forum-Meister
|
 |
Beiträge: 24.502
|
 |
|
 |
Anmeldedatum: 26.03.09
|
 |
|
 |
Wohnort: Nähe München
|
 |
|
 |
Version: ab 2017b
|
 |
|
|
 |
|
Verfasst am: 04.03.2015, 18:49
Titel:
|
 |
Hallo,
| Zitat: |
| aber das funktioniert nicht wie ich das gerne hätte :D |
... und das bedeutet was genau? Gibt es eine Fehlermeldung? Ein unerwartetes Verhalten?
Sofern sie konvergieren, können unendliche Summen beliebig genau durch endliche Summen angenähert werden.
Grüße,
Harald
|
|
|
|
| crackheinzi.n |
Themenstarter

Forum-Newbie
|
 |
Beiträge: 9
|
 |
|
 |
Anmeldedatum: 04.03.15
|
 |
|
 |
Wohnort: ---
|
 |
|
 |
Version: ---
|
 |
|
|
 |
|
Verfasst am: 04.03.2015, 23:59
Titel:
|
 |
Matlab zeigt mir an, dass sie divergent ist, also gibt Matlab die Reihe einfach wieder aus ohne konkrete Lösung.
Zu erwarten ist allerdings eine genau Lösung in Abhängigkeit von der Eindringtiefe und Zeit des Chlorides
|
|
|
|
| Harald |

Forum-Meister
|
 |
Beiträge: 24.502
|
 |
|
 |
Anmeldedatum: 26.03.09
|
 |
|
 |
Wohnort: Nähe München
|
 |
|
 |
Version: ab 2017b
|
 |
|
|
 |
|
Verfasst am: 05.03.2015, 22:29
Titel:
|
 |
Hallo,
wenn die Reihe divergent ist, dann kann auch MATLAB nichts dagegen tun.
Wie sind x, e etc. definiert?
Grüße,
Harald
|
|
|
|
| crackheinzi.n |
Themenstarter

Forum-Newbie
|
 |
Beiträge: 9
|
 |
|
 |
Anmeldedatum: 04.03.15
|
 |
|
 |
Wohnort: ---
|
 |
|
 |
Version: ---
|
 |
|
|
 |
|
Verfasst am: 07.03.2015, 08:23
Titel:
|
 |
X und e sind einfach skalare Werte. X beschreibt die Eindringtiefe in Beton und e die dicke der ersten Betonschicht.
Ich kann ja mal die ganzen Werte angeben:
Cs=0,55
e=0,02 m
D1=10^-9
D2=10^-10
X geht von 0-0.5 meter
T=189341556 Sekunden
Das alpha ist wie folgt definiert, hab die Formel nicht mehr aufs Bild bekommen:
K=sqrt(D1/D2)....alpha= (1-k)/(1+k)
|
|
|
|
| Winkow |

Moderator
|
 |
Beiträge: 3.842
|
 |
|
 |
Anmeldedatum: 04.11.11
|
 |
|
 |
Wohnort: Dresden
|
 |
|
 |
Version: R2014a 2015a
|
 |
|
|
 |
|
Verfasst am: 07.03.2015, 10:25
Titel:
|
 |
als übergang wie man das löst würde ich einfach die summe für endlich viele glieder berechnen
grüße
_________________
richtig Fragen
|
|
|
|
| crackheinzi.n |
Themenstarter

Forum-Newbie
|
 |
Beiträge: 9
|
 |
|
 |
Anmeldedatum: 04.03.15
|
 |
|
 |
Wohnort: ---
|
 |
|
 |
Version: ---
|
 |
|
|
 |
|
Verfasst am: 07.03.2015, 11:35
Titel:
|
 |
Hey Winkow!
Vielen Dank für diesen Ansatz, werde es gleich mal implementieren. Mal gucken ob die Ergebnisse Sinn machen
|
|
|
|
|
|
|
Einstellungen und Berechtigungen
|
|
Du kannst Beiträge in dieses Forum schreiben. Du kannst auf Beiträge in diesem Forum antworten. Du kannst deine Beiträge in diesem Forum nicht bearbeiten. Du kannst deine Beiträge in diesem Forum nicht löschen. Du kannst an Umfragen in diesem Forum nicht mitmachen. Du kannst Dateien in diesem Forum posten Du kannst Dateien in diesem Forum herunterladen
|
|
Impressum
| Nutzungsbedingungen
| Datenschutz
| FAQ
| RSS
Hosted by:
Copyright © 2007 - 2026
goMatlab.de | Dies ist keine offizielle Website der Firma The Mathworks
MATLAB, Simulink, Stateflow, Handle Graphics, Real-Time Workshop, SimBiology, SimHydraulics, SimEvents, and xPC TargetBox are registered trademarks and The MathWorks, the L-shaped membrane logo, and Embedded MATLAB are trademarks of The MathWorks, Inc.
|
|