|
|
|
vektorielles Programmieren statt for-Schleifen |
|
| Motu |

Forum-Anfänger
|
 |
Beiträge: 14
|
 |
|
 |
Anmeldedatum: 15.05.15
|
 |
|
 |
Wohnort: ---
|
 |
|
 |
Version: ---
|
 |
|
|
 |
|
Verfasst am: 25.07.2015, 20:13
Titel: vektorielles Programmieren statt for-Schleifen
|
 |
| |
 |
|
Hallo Zusammen,
ich habe folgende Funktion.
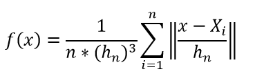
Im Anhang findet ihr die Formel, die ich versucht habe zu implementieren.
Die Beschreibung:
xMatrix ist eine 3x100000 Matrix und MatrixX ist eine 3x200 Matrix. Ich möchte eine Spalte der xMatrix festhalten, davon zunächst eine Spalte der MatrixX dann die Norm davon bilden. Dann möchte ich die restlichen Spalten der MatrixX von der gewählten Spalte der xMatrix abziehen und da auch jeweils die Norm bilden. diese werte der Norm werden zu einer Zahl addiert. Diese Zahl wird dann in einem Array gespeichert, was am Ende ausgegeben werden soll.
Das Ziel ist es für jede der Spalten von xMatrix so eine Zahl auszurechnen. Nun habe ich gemerkt, dass meine Funktion relativ langsam ist. Ich habe gehört, dass ich statt der For-schleifen vektoriell das ganze programmieren kann. Leider weiß ich nicht, wie es funktioniert. Kann mir bitte jemand helfen?
Danke und Grüße
Motu
| Beschreibung: |
|
 Download |
| Dateiname: |
Capture.PNG |
| Dateigröße: |
5.61 KB |
| Heruntergeladen: |
330 mal |
|
|
|
|
|
|
| Jan S |

Moderator
|
 |
Beiträge: 11.057
|
 |
|
 |
Anmeldedatum: 08.07.10
|
 |
|
 |
Wohnort: Heidelberg
|
 |
|
 |
Version: 2009a, 2016b
|
 |
|
|
 |
|
Verfasst am: 25.07.2015, 23:01
Titel: Re: vektorielles Programmieren statt for-Schleifen
|
 |
Hallo Motu,
Bevor man die Laufzeit eines Codes optimiert, sollte er erfolgreich getestet sein und das richtiger Ergebnis liefern.
Bist Du sicher, dass in jeder Iteration der "for i"_Schleife die Variable "sume" wieder auf "ones()" gesetzt werden soll? In diesem Fall könnte man nämlich die Schleife über i weglassen, da nur die letzte Iterations Auswirkungen auf das Endergebnis hat.
Ich rate mal, dass sume nicht überschrieben werden soll:
Erzeugt das das gewünschte Ergebnis?
Gruß, Jan
|
|
|
|
|
|
|
Einstellungen und Berechtigungen
|
|
Du kannst Beiträge in dieses Forum schreiben. Du kannst auf Beiträge in diesem Forum antworten. Du kannst deine Beiträge in diesem Forum nicht bearbeiten. Du kannst deine Beiträge in diesem Forum nicht löschen. Du kannst an Umfragen in diesem Forum nicht mitmachen. Du kannst Dateien in diesem Forum posten Du kannst Dateien in diesem Forum herunterladen
|
|
Impressum
| Nutzungsbedingungen
| Datenschutz
| FAQ
| RSS
Hosted by:
Copyright © 2007 - 2026
goMatlab.de | Dies ist keine offizielle Website der Firma The Mathworks
MATLAB, Simulink, Stateflow, Handle Graphics, Real-Time Workshop, SimBiology, SimHydraulics, SimEvents, and xPC TargetBox are registered trademarks and The MathWorks, the L-shaped membrane logo, and Embedded MATLAB are trademarks of The MathWorks, Inc.
|
|