WICHTIG: Der Betrieb von goMatlab.de wird privat finanziert fortgesetzt. - Mehr Infos...

Mein MATLAB Forum - goMatlab.de

Mein MATLAB Forum

 
Gast > Registrieren       Autologin?   

Partner:




Forum
      Option
[Erweitert]
  • Diese Seite per Mail weiterempfehlen
     


Gehe zu:  
Neues Thema eröffnen Neue Antwort erstellen

was ist mit meinem Integral falsch??????

 

chunkrfg.tu.berlin
Forum-Anfänger

Forum-Anfänger


Beiträge: 24
Anmeldedatum: 03.08.10
Wohnort: Berlin
Version: ---
     Beitrag Verfasst am: 10.02.2011, 15:16     Titel: was ist mit meinem Integral falsch??????
  Antworten mit Zitat      
hola,
ich versuche gerade über ein Integral die Verdrängungsdicke meiner Grenzschichht zu berechnen. Es kommt aber immer eine Fehlermeldung....

Code:

 delta_1(n,i)=int((1-(abs_VX(n,end:-1:1,i)./u_rand)),y_punkte,y_punkte(n,end,i),y_punkte(n,1,i))

 





die Fehlermeldung lautet immer wie folgt:

??? Undefined function or method 'int' for input arguments of type 'double'.

Error in ==> parameter_2d at 95
delta_1(n,i)=int((1-(abs_VX(n,end:-1:1,i)./u_rand)),y_punkte,y_punkte(n,end,i),y_punkte(n,1,i));


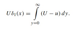
Das Integral soll wie das beigefügte Bild aussehen...

viiiiielen Dank im Voraus
ch


verdraengungsdicke.jpg
 Beschreibung:

Download
 Dateiname:  verdraengungsdicke.jpg
 Dateigröße:  5.31 KB
 Heruntergeladen:  519 mal
Private Nachricht senden Benutzer-Profile anzeigen


Harald
Forum-Meister

Forum-Meister


Beiträge: 24.502
Anmeldedatum: 26.03.09
Wohnort: Nähe München
Version: ab 2017b
     Beitrag Verfasst am: 10.02.2011, 15:23     Titel:
  Antworten mit Zitat      
Hallo,

int ist nur für symbolische Integrale geeignet.
So wie ich das sehe ist deine zu integrierende Funktion durch einen Datenvektor gegeben. Dann solltest du trapz bzw. cumtrapz verwenden; siehe Dokumentation dieser Befehle.

Grüße,
Harald
_________________

1.) Ask MATLAB Documentation
2.) Search gomatlab.de, google.de or MATLAB Answers
3.) Ask Technical Support of MathWorks
4.) Go mad, your problem is unsolvable ;)
Private Nachricht senden Benutzer-Profile anzeigen
 
chunkrfg.tu.berlin
Themenstarter

Forum-Anfänger

Forum-Anfänger


Beiträge: 24
Anmeldedatum: 03.08.10
Wohnort: Berlin
Version: ---
     Beitrag Verfasst am: 10.02.2011, 15:25     Titel:
  Antworten mit Zitat      
ohhhhh soooo schnelll,,,,,
Danke probiere ich jetzt aus dann melde ich mich wieder
Danke nochmal


viele Grüsse,
ch
Private Nachricht senden Benutzer-Profile anzeigen
 
chunkrfg.tu.berlin
Themenstarter

Forum-Anfänger

Forum-Anfänger


Beiträge: 24
Anmeldedatum: 03.08.10
Wohnort: Berlin
Version: ---
     Beitrag Verfasst am: 14.02.2011, 12:44     Titel:
  Antworten mit Zitat      
Hallo Harald,

ja TRAPZ hat mein Vektor-Integral gelöst Daaaaaaaaanke

vg
ch
Private Nachricht senden Benutzer-Profile anzeigen
 
Neues Thema eröffnen Neue Antwort erstellen



Einstellungen und Berechtigungen
Beiträge der letzten Zeit anzeigen:

Du kannst Beiträge in dieses Forum schreiben.
Du kannst auf Beiträge in diesem Forum antworten.
Du kannst deine Beiträge in diesem Forum nicht bearbeiten.
Du kannst deine Beiträge in diesem Forum nicht löschen.
Du kannst an Umfragen in diesem Forum nicht mitmachen.
Du kannst Dateien in diesem Forum posten
Du kannst Dateien in diesem Forum herunterladen
.





 Impressum  | Nutzungsbedingungen  | Datenschutz | FAQ | goMatlab RSS Button RSS

Hosted by:


Copyright © 2007 - 2026 goMatlab.de | Dies ist keine offizielle Website der Firma The Mathworks

MATLAB, Simulink, Stateflow, Handle Graphics, Real-Time Workshop, SimBiology, SimHydraulics, SimEvents, and xPC TargetBox are registered trademarks and The MathWorks, the L-shaped membrane logo, and Embedded MATLAB are trademarks of The MathWorks, Inc.