|
|
|
Wert der A Matrix im Zustandsraum |
|
| Kati_12 |

Forum-Newbie
|
 |
Beiträge: 1
|
 |
|
 |
Anmeldedatum: 14.05.18
|
 |
|
 |
Wohnort: ---
|
 |
|
 |
Version: ---
|
 |
|
|
 |
|
Verfasst am: 14.05.2018, 15:41
Titel: Wert der A Matrix im Zustandsraum
|
 |
Hallo,
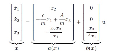
ich muss ein System 2. Ordnung regeln und habe den Zustandsraum in Matrixschreibweise gegeben (siehe Anhang). Dafür brauche ich die Werte der A Matrix (3x3).
Die ersten beide Zeilen habe ich bereits:
0 1 0
-c/m 0 A/m
Auf die 3. Zeile komme ich leider nicht.
Die Allgemeineform im Zustandsraum lautet:
x_punkt = A*x + B*u
Viele Grüße
| Beschreibung: |
|
 Download |
| Dateiname: |
Unbenannt.jpg |
| Dateigröße: |
16.81 KB |
| Heruntergeladen: |
752 mal |
|
|
|
|
|
|
| Erano1 |

Forum-Fortgeschrittener
|
 |
Beiträge: 59
|
 |
|
 |
Anmeldedatum: 26.04.16
|
 |
|
 |
Wohnort: ---
|
 |
|
 |
Version: ---
|
 |
|
|
 |
|
Verfasst am: 15.05.2018, 11:05
Titel:
|
 |
Hallo Kati,
das Problem ist, dass die Zustandsraumdarstellung x_punkt = A*x + B*u so nur für lineare Systeme angegeben werden kann. Dein gegebenes System ist aber nichtlinear ( durch x_3_punkt=...). Hier besteht die Möglichkeit des System um einen bestimmten Punkt (typischerweise um eine Ruhelage) zu linearisieren. Diese Linearisierung ist dann aber nur eine gute Approximation des originalen Systems, so lange sich das System in der Nähe der Ruhelage befindet.
Viele Grüße,
Erano1
|
|
|
|
|
|
|
Einstellungen und Berechtigungen
|
|
Du kannst Beiträge in dieses Forum schreiben. Du kannst auf Beiträge in diesem Forum antworten. Du kannst deine Beiträge in diesem Forum nicht bearbeiten. Du kannst deine Beiträge in diesem Forum nicht löschen. Du kannst an Umfragen in diesem Forum nicht mitmachen. Du kannst Dateien in diesem Forum posten Du kannst Dateien in diesem Forum herunterladen
|
|
Impressum
| Nutzungsbedingungen
| Datenschutz
| FAQ
| RSS
Hosted by:
Copyright © 2007 - 2026
goMatlab.de | Dies ist keine offizielle Website der Firma The Mathworks
MATLAB, Simulink, Stateflow, Handle Graphics, Real-Time Workshop, SimBiology, SimHydraulics, SimEvents, and xPC TargetBox are registered trademarks and The MathWorks, the L-shaped membrane logo, and Embedded MATLAB are trademarks of The MathWorks, Inc.
|
|