|
|
|
Werte von 2 Frequenzgängen miteinander vergleichen |
|
| MarkD |
Gast
|
 |
Beiträge: ---
|
 |
|
 |
Anmeldedatum: ---
|
 |
|
 |
Wohnort: ---
|
 |
|
 |
Version: ---
|
 |
|
|
 |
|
Verfasst am: 10.01.2021, 21:51
Titel: Werte von 2 Frequenzgängen miteinander vergleichen
|
 |
Hallo,
ich bin gerade dabei 2 Frequenzgänge miteinander zu vergleichen. Graphisch ist das auch kein Problem im Bodediagramm, jedoch möchte ich das automatisieren, also vllt durch eine for-Schleife die y-Werte der 2 Amplitudengänge miteinander verlgleichen. Meine Idee:
Doch leider erkennt er den Befehl Grenze(w) nicht. Hat jmd eine Lösung dafür?
|
|
|
|
|
|
| Harald |

Forum-Meister
|
 |
Beiträge: 24.502
|
 |
|
 |
Anmeldedatum: 26.03.09
|
 |
|
 |
Wohnort: Nähe München
|
 |
|
 |
Version: ab 2017b
|
 |
|
|
 |
|
Verfasst am: 10.01.2021, 23:31
Titel:
|
 |
Hallo,
| Zitat: |
| Doch leider erkennt er den Befehl Grenze(w) nicht. |
Ich bekomme ja die Fehlermeldung
| Zitat: |
Error using InputOutputModel/subsref (line 43)
Subscript no. 2 is out of range. |
Das hat nichts damit zu tun, dass der Befehl nicht bekannt wäre.
Ich habe nicht wirklich Ahnung von Regelungstechnik, insofern weiß ich nicht, was du denn mit Grenze(w) eigentlich ausdrücken willst. Wenn du w in Grenze einsetzen willst, würde ich zu
evalfr
raten.
Grüße,
Harald
_________________
1.) Ask MATLAB Documentation
2.) Search gomatlab.de, google.de or MATLAB Answers
3.) Ask Technical Support of MathWorks
4.) Go mad, your problem is unsolvable ;)
|
|
|
|
| MarkD |
Gast
|
 |
Beiträge: ---
|
 |
|
 |
Anmeldedatum: ---
|
 |
|
 |
Wohnort: ---
|
 |
|
 |
Version: ---
|
 |
|
|
 |
|
Verfasst am: 11.01.2021, 01:20
Titel:
|
 |
Hallo,
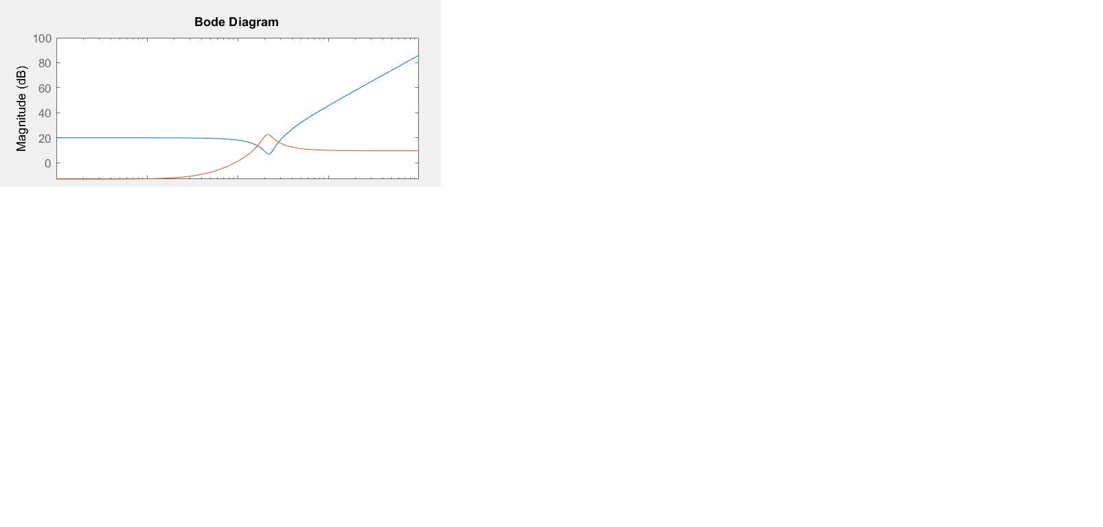
tatsächlich verschwinden beide Fehler aber im Test funktioniert es leider nicht. Grenze und pert sind Übertragungsfunktionen, die im Bode Diagramm einen Frequenzgang erzeugen. Und da ist ja jeder Frequenz (w) eine Größe (y-Wert) zugeordnet. Also anders gesagt y=f(x) ist das gleiche wie y1=Grenze(w) (w für omega kreisfrequenz) von 0.1 bis 100. Im Anhang ist die Grenze-Funktion die blaue Kurve und pert die Rote. Und da die rote Kurve im Bereich zwischen 1 und 10 größer ist als die Rote, sollte eigentlich "nicht stabil" ausgegeben werden. Tut es nur leider nicht. Vielen Dank für die Antwort.
Grüße,
Mark
| Beschreibung: |
|
 Download |
| Dateiname: |
Bode.jpg |
| Dateigröße: |
38.03 KB |
| Heruntergeladen: |
727 mal |
|
|
|
|
| Harald |

Forum-Meister
|
 |
Beiträge: 24.502
|
 |
|
 |
Anmeldedatum: 26.03.09
|
 |
|
 |
Wohnort: Nähe München
|
 |
|
 |
Version: ab 2017b
|
 |
|
|
 |
|
Verfasst am: 11.01.2021, 12:20
Titel:
|
 |
Hallo,
wie kommt denn das Bild zustande?
Bei mir gibt es im oberen Teil des Bode-Diagramms keine Überschneidung.
Die erste Frage ist für mich, an die Werte zu kommen, die du vergleichen willst. evalfr, freqresp und bode liefern alle Werte, aber welche du nun eigentlich willst, weiß ich nicht.
Grüße,
Harald
_________________
1.) Ask MATLAB Documentation
2.) Search gomatlab.de, google.de or MATLAB Answers
3.) Ask Technical Support of MathWorks
4.) Go mad, your problem is unsolvable ;)
|
|
|
|
| MarkD |
Gast
|
 |
Beiträge: ---
|
 |
|
 |
Anmeldedatum: ---
|
 |
|
 |
Wohnort: ---
|
 |
|
 |
Version: ---
|
 |
|
|
 |
|
Verfasst am: 11.01.2021, 13:49
Titel:
|
 |
Hallo,
das Bild kommt durch den Befehl bode(Grenze,pert) zustande. Für den Test habe ich die Strecke2 zu
geändert. Das sind ja alles Übertragungungsfunktionen mit dem Parameter "s". Dieser wird durch "jw" ersetzt und für "w" werden von 0.1 bis 100 die Werte eingesetzt. Das Ergebnis des Einsetzens ist ein y-Wert (Magnitude). Dabei ist es egal ob er alle y-Werte der beiden Übertragungsfunktionen gleichzeitig prüft oder in einer Schleife einzeln. Graphisch kann ich ja sehen ob die rote Kurve über der Blauen ist (also y1<y2 ist). Also der Vergleich ist nur ob pert über der Grenze ist. Und der ursprüngleiche Plan ist das abgreifen beider y-Werte für einen bestimmten x-Wert (in meinem Fall w) und Vergleich.
Grüße,
Mark
|
|
|
|
| Harald |

Forum-Meister
|
 |
Beiträge: 24.502
|
 |
|
 |
Anmeldedatum: 26.03.09
|
 |
|
 |
Wohnort: Nähe München
|
 |
|
 |
Version: ab 2017b
|
 |
|
|
 |
|
Verfasst am: 11.01.2021, 15:11
Titel:
|
 |
Hallo,
Vorschlag:
Grüße,
Harald
_________________
1.) Ask MATLAB Documentation
2.) Search gomatlab.de, google.de or MATLAB Answers
3.) Ask Technical Support of MathWorks
4.) Go mad, your problem is unsolvable ;)
|
|
|
|
| MarkD |
Gast
|
 |
Beiträge: ---
|
 |
|
 |
Anmeldedatum: ---
|
 |
|
 |
Wohnort: ---
|
 |
|
 |
Version: ---
|
 |
|
|
 |
|
Verfasst am: 11.01.2021, 17:24
Titel:
|
 |
Super,
besten Dank! Genau so ist perfekt. Muss nur noch die Befehle verstehen, aber das ist mit ein bisschen Recherche auch möglich.
Beste Grüße,
Mark
|
|
|
|
|
|
|
Einstellungen und Berechtigungen
|
|
Du kannst Beiträge in dieses Forum schreiben. Du kannst auf Beiträge in diesem Forum antworten. Du kannst deine Beiträge in diesem Forum nicht bearbeiten. Du kannst deine Beiträge in diesem Forum nicht löschen. Du kannst an Umfragen in diesem Forum nicht mitmachen. Du kannst Dateien in diesem Forum posten Du kannst Dateien in diesem Forum herunterladen
|
|
Impressum
| Nutzungsbedingungen
| Datenschutz
| FAQ
| RSS
Hosted by:
Copyright © 2007 - 2026
goMatlab.de | Dies ist keine offizielle Website der Firma The Mathworks
MATLAB, Simulink, Stateflow, Handle Graphics, Real-Time Workshop, SimBiology, SimHydraulics, SimEvents, and xPC TargetBox are registered trademarks and The MathWorks, the L-shaped membrane logo, and Embedded MATLAB are trademarks of The MathWorks, Inc.
|
|