|
|
|
Wiederholgenauigkeit ermitteln // Maximaler Abstand Kurven |
|
| equi |

Forum-Century
|
 |
Beiträge: 123
|
 |
|
 |
Anmeldedatum: 07.03.17
|
 |
|
 |
Wohnort: Tübingen
|
 |
|
 |
Version: Matlab 2018a
|
 |
|
|
 |
|
Verfasst am: 18.05.2017, 07:52
Titel: Wiederholgenauigkeit ermitteln // Maximaler Abstand Kurven
|
 |
| |
 |
|
Hallo Zusammen,
und zwar möchte ich die Messgenauigkeit bzw. die Wiederholgenauigkeit eines Messmittels ermitteln. Hierzu habe ich mehrmals das selbe Werkstück vermessen.
Die Daten liegen immer als csv Datei vor, immer 5 Spalten, Zeilen Anzahl unterschiedlich (jedoch immer recht ähnliche Anzahl), allerdings werden nur 2 bestimmte(es ist bekannt welche) spalten benötigt.
Da die Kurven per Messvorgang ermittelt wurden, liegt keine Funktion vor.
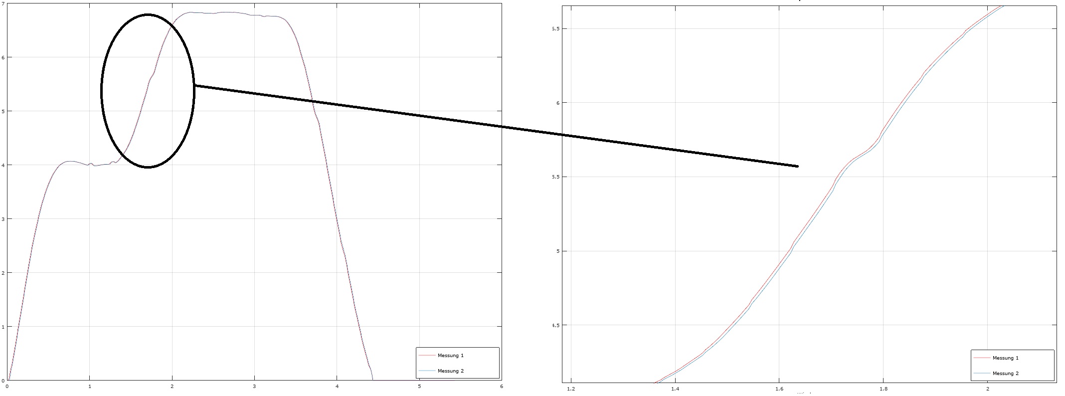
Mir ist wichtig den maximalen Abstand der Kurven (auch an bestimmten Stellen) zu ermitteln(am wichtigsten ist es in der Steigung), im Anhang sind es nur 2, in echt sind es ca 100 stück.
Habe mir erst irgendwas gedacht mit |g(x)-f(x)| aber da ich weder Formel hab, noch immer die größte und die kleinste kurve zuvor weiß macht das keinen Sinn, zumindest wüsste ich nicht wie
Habe auch schon einige andere Themen dazu gelesen, leider bringt mich das nicht weiter
Vielen Dank!
Grüße
EDIT:
Hab mal noch eine Stelle rausgesucht mit allen Messungen, hier ist deutlich zu sehen, damit nicht immer eine Messung die größte bzw. die kleinste bleibt (Abweichung 2), deswegen weiß ich nicht wie ich mit sowas wie |g(x)-f(x)| umgehen soll... wenn es nur 2 Messungen wären würde ich einfach den Betrag nehmen
| Beschreibung: |
|
 Download |
| Dateiname: |
Abweichungen 2.JPG |
| Dateigröße: |
53.04 KB |
| Heruntergeladen: |
733 mal |
| Beschreibung: |
|
 Download |
| Dateiname: |
Abweichungen.jpg |
| Dateigröße: |
136.13 KB |
| Heruntergeladen: |
776 mal |
|
|
|
|
|
|
| Jan S |

Moderator
|
 |
Beiträge: 11.057
|
 |
|
 |
Anmeldedatum: 08.07.10
|
 |
|
 |
Wohnort: Heidelberg
|
 |
|
 |
Version: 2009a, 2016b
|
 |
|
|
 |
|
Verfasst am: 19.05.2017, 07:52
Titel: Re: Wiederholgenauigkeit ermitteln // Maximaler Abstand Kurv
|
 |
Hallo equi,
Bei mehreren Messwerten nimmt man im Allgemeinen die Standard-Abweichung, als die Wuzel aus der Summe der quadrierten Abstände zum Mittelwert.
Die maximale Abweichung ist auch interessant:
Hier wird zu jedem Zeitpunkt der Minimalwert vom Maximalwert abgezogen. Hierbei werden Ausreißer betont, während sie bei der Standardabweichung gedämpft werden.
Gruß, Jan
|
|
|
|
| equi |
Themenstarter

Forum-Century
|
 |
Beiträge: 123
|
 |
|
 |
Anmeldedatum: 07.03.17
|
 |
|
 |
Wohnort: Tübingen
|
 |
|
 |
Version: Matlab 2018a
|
 |
|
|
 |
|
Verfasst am: 23.05.2017, 13:55
Titel:
|
 |
Danke für die Antwort Jan!
Sorry für die lange Zeit bis zur Antwort, habe ewig rumprobiert bis ich gerade gemerkt habe damit so mein Programm nicht funktionieren kann, hatte zuvor schon einen Fehler und deshalb immer die Falschen Werte rausbekommen
Mein bisheriges Programm hat mir immer die Abweichungen in einer spalte von einer .csv-datei geliefert...
Ich muss aber jeweils die Zeilen mit den Zeilen aus den anderen csv-Datei vergleichen
Also quasi Abweichungen bilden der Zeile1 der csv-Datei1 mit Zeile1 aus csv-Datei2-50 da bin ich jetzt gerade am rumprobieren
|
|
|
|
|
|
|
Einstellungen und Berechtigungen
|
|
Du kannst Beiträge in dieses Forum schreiben. Du kannst auf Beiträge in diesem Forum antworten. Du kannst deine Beiträge in diesem Forum nicht bearbeiten. Du kannst deine Beiträge in diesem Forum nicht löschen. Du kannst an Umfragen in diesem Forum nicht mitmachen. Du kannst Dateien in diesem Forum posten Du kannst Dateien in diesem Forum herunterladen
|
|
Impressum
| Nutzungsbedingungen
| Datenschutz
| FAQ
| RSS
Hosted by:
Copyright © 2007 - 2026
goMatlab.de | Dies ist keine offizielle Website der Firma The Mathworks
MATLAB, Simulink, Stateflow, Handle Graphics, Real-Time Workshop, SimBiology, SimHydraulics, SimEvents, and xPC TargetBox are registered trademarks and The MathWorks, the L-shaped membrane logo, and Embedded MATLAB are trademarks of The MathWorks, Inc.
|
|