|
|
|
X-Achser Neuskalierung mit flexiblen x=0 Wert |
|
| Trocadero |

Forum-Newbie
|
 |
Beiträge: 5
|
 |
|
 |
Anmeldedatum: 04.07.16
|
 |
|
 |
Wohnort: ---
|
 |
|
 |
Version: ---
|
 |
|
|
 |
|
Verfasst am: 04.07.2016, 12:08
Titel: X-Achser Neuskalierung mit flexiblen x=0 Wert
|
 |
| |
 |
|
Hallo zusammen,
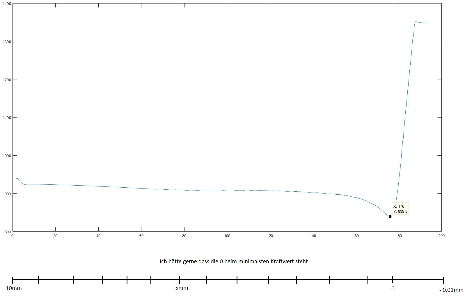
bei meinem Versuch verfahre ich eine Platte, die auf einer Waage steht und diese steht widerum auf einem Hubtisch, um sehr kurze Distanz nach oben oder unten um die Anziehungskraft zu bestimmen. Gegenüber der Platte befindet sich eine weitere Platte (Kondensator) und lege Spannung an. Ich messe das Gewicht(y-Achse) über die Zeit(x-Achse). Da ich weiß wie schnell ich die Platte verfahre, würde ich gerne den Verfahrweg anstatt der Zeit als x-Achse "nehmen". Im Anhang befindet sich eine Abbildung meiner Kraftmessung. Bei der Kraftmessung taucht ein Minimum der Kraft auf. Bei diesem Minimum würde ich gerne den Verfahrweg auf x=0 setzen. Ein Beispiel der Skalierung, wie ich sie gerne haben würde, befindet sich auch in der Abbildung.
Eine andere Möglichkeit wäre, einen neuen Vektor zu bilden. An welcher Stelle der Minimale Wert steht kann ich herausfinden. Dann würde ich im neuen Vektor eine 0 an der Stelle platzieren. Jetzt müsste ich die restlichen Werte allerdings irgendwie auffüllen. Da die Nullstelle ja nicht direkt in der Mitte, Anfang oder Ende steht, weiß ich leider nicht wie man das dann macht...
Wäre sehr nett wenn ihr mir da helfen könnt!
Viele Grüße
| Beschreibung: |
|
 Download |
| Dateiname: |
Kraftmessung.jpg |
| Dateigröße: |
86.09 KB |
| Heruntergeladen: |
347 mal |
|
|
|
|
|
|
| ro_mat |

Forum-Century
|
 |
Beiträge: 158
|
 |
|
 |
Anmeldedatum: 20.10.15
|
 |
|
 |
Wohnort: ---
|
 |
|
 |
Version: ---
|
 |
|
|
 |
|
Verfasst am: 04.07.2016, 12:32
Titel:
|
 |
Servus,
ich gehe davon aus das in deinem angehängten Bild auf der x-Achse die Abtastwerte der Zeit aufgetragen sind! Dein Marker bedeutet dass der 176te x-Wert dein Nullpunkt sein soll!
Jetzt musst du wissen wie dein Messaufnehmer abtastet, sodass du von den absoluten Werten auf die Zeit kommst - z.B. ist bei 100Hz Abtastung dein x-Wert beim Marker 1,76 Sekunden! Wenn du dann die Geschwindigkeit kennst, kannst du ja auf den Weg zurückrechnen s = v*t!!!
Dann hast du auf der x-Achse deinen Weg - nun ziehst du von deinem gesamten Weg-Vektor den Wert der an der 176. Stelle auftritt ab und dann hast du deine gewünschte Achse!!
|
|
|
|
|
|
|
Einstellungen und Berechtigungen
|
|
Du kannst Beiträge in dieses Forum schreiben. Du kannst auf Beiträge in diesem Forum antworten. Du kannst deine Beiträge in diesem Forum nicht bearbeiten. Du kannst deine Beiträge in diesem Forum nicht löschen. Du kannst an Umfragen in diesem Forum nicht mitmachen. Du kannst Dateien in diesem Forum posten Du kannst Dateien in diesem Forum herunterladen
|
|
Impressum
| Nutzungsbedingungen
| Datenschutz
| FAQ
| RSS
Hosted by:
Copyright © 2007 - 2026
goMatlab.de | Dies ist keine offizielle Website der Firma The Mathworks
MATLAB, Simulink, Stateflow, Handle Graphics, Real-Time Workshop, SimBiology, SimHydraulics, SimEvents, and xPC TargetBox are registered trademarks and The MathWorks, the L-shaped membrane logo, and Embedded MATLAB are trademarks of The MathWorks, Inc.
|
|