|
|
|
zusammengesetzte Funktion näherungsweise an Polynom anpasse |
|
| student0815 |
Gast
|
 |
Beiträge: ---
|
 |
|
 |
Anmeldedatum: ---
|
 |
|
 |
Wohnort: ---
|
 |
|
 |
Version: ---
|
 |
|
|
 |
|
Verfasst am: 22.12.2010, 01:08
Titel: zusammengesetzte Funktion näherungsweise an Polynom anpasse
|
 |
Hi @ all,
beim lesen von Beiträgen habe ich gesehen das hier einige "Matlab-Künstler" unterwegs sind. Ich bin z.Z. dabei mich in Matlab einzuarbeiten, habe jedoch Schwierigkeiten, vielleicht kann mir einer von euch helfen?
Problem Gesammtaufgabe:
ein definierter Verlauf einer stetigen zusammengesetzten Funktion näherungsweise in ein Polynom (mit möglichst kleiner Ordnung (exponent) und möglichst kleiner Abweichnung) zu überführen.
Aktuelles Problem:
warum kann ich meinen zusammengesetzte Funktion nicht plotten?
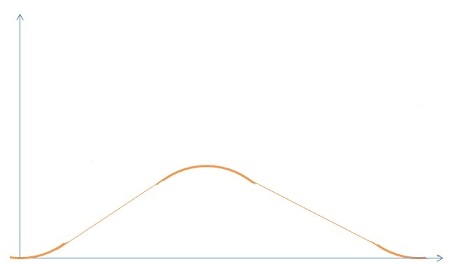
Die zusammengesetzte Funktion besteht aus einfachen Formen (Kreisbögen und Geraden mit Steigung)
Frage 1:Warum kann ich diese Funktion nicht plotten?
greez andi
| Beschreibung: |
| skizzierter Verlauf der zusammengesetzten Funktion |
|
 Download |
| Dateiname: |
skizze.jpg |
| Dateigröße: |
13.24 KB |
| Heruntergeladen: |
928 mal |
|
|
|
|
|
|
| Jan S |

Moderator
|
 |
Beiträge: 11.057
|
 |
|
 |
Anmeldedatum: 08.07.10
|
 |
|
 |
Wohnort: Heidelberg
|
 |
|
 |
Version: 2009a, 2016b
|
 |
|
|
 |
|
Verfasst am: 22.12.2010, 12:30
Titel: Re: zusammengesetzte Funktion näherungsweise an Polynom anp
|
 |
Hallo Andi,
| Zitat: |
| Frage 1:Warum kann ich diese Funktion nicht plotten? |
Ich habe keine Ahnung! Meine Kristallkugel ist von dem ganzen Schneematsch vollkommen undurchsichtig geworden ;-)
Hast Du es mit PLOT versucht? Wie oder wie sonst? Gab es eine Fehlermeldung oder stimmte das Ergebnis nicht mit Deinen Erwartungen überein?
Gruß, Jan
|
|
|
|
| Thomas84 |

Forum-Meister
|
 |
Beiträge: 546
|
 |
|
 |
Anmeldedatum: 10.02.10
|
 |
|
 |
Wohnort: ---
|
 |
|
 |
Version: ---
|
 |
|
|
 |
|
Verfasst am: 22.12.2010, 13:40
Titel:
|
 |
Hallo,
das Problem liegt in der Definition der Funktion. Du machst zwei Fehler: erstens musst du punktweise multiplizieren (mit .*) und zweitens müssen die Vektoren die du addierst die gleiche Länge haben.
|
|
|
|
|
|
|
Einstellungen und Berechtigungen
|
|
Du kannst Beiträge in dieses Forum schreiben. Du kannst auf Beiträge in diesem Forum antworten. Du kannst deine Beiträge in diesem Forum nicht bearbeiten. Du kannst deine Beiträge in diesem Forum nicht löschen. Du kannst an Umfragen in diesem Forum nicht mitmachen. Du kannst Dateien in diesem Forum posten Du kannst Dateien in diesem Forum herunterladen
|
|
Impressum
| Nutzungsbedingungen
| Datenschutz
| FAQ
| RSS
Hosted by:
Copyright © 2007 - 2026
goMatlab.de | Dies ist keine offizielle Website der Firma The Mathworks
MATLAB, Simulink, Stateflow, Handle Graphics, Real-Time Workshop, SimBiology, SimHydraulics, SimEvents, and xPC TargetBox are registered trademarks and The MathWorks, the L-shaped membrane logo, and Embedded MATLAB are trademarks of The MathWorks, Inc.
|
|