|
|
|
Zustandsraumdarstellung für DC-Motor |
|
| Balu45 |

Forum-Newbie
|
 |
Beiträge: 1
|
 |
|
 |
Anmeldedatum: 03.10.20
|
 |
|
 |
Wohnort: ---
|
 |
|
 |
Version: ---
|
 |
|
|
 |
|
Verfasst am: 18.10.2020, 16:50
Titel: Zustandsraumdarstellung für DC-Motor
|
 |
Hallo zusammen,
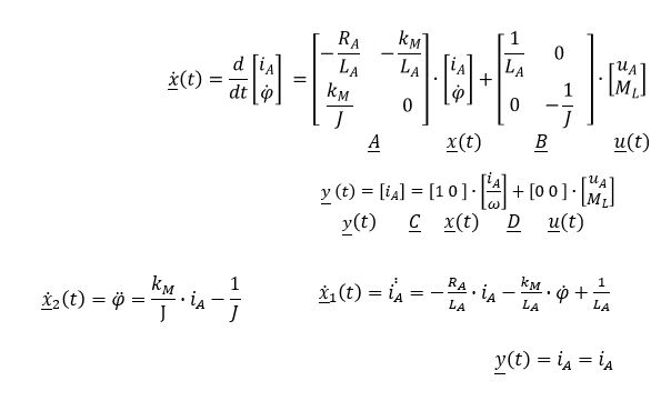
Für eine Masterarbeit muss ich die Parameter R und K eines DC-Motors schätzen. Hierzu versuche ich gerade die Zustandsraumdarstellung so umzustellen dass ich 4 Zustandsvektoren habe, sprich den Strom
| Beschreibung: |
|
 Download |
| Dateiname: |
Zustandsraumdarstellung_DCMotor.JPG |
| Dateigröße: |
28.42 KB |
| Heruntergeladen: |
810 mal |
|
|
|
|
|
|
| cyrez |

Forum-Fortgeschrittener
|
 |
Beiträge: 81
|
 |
|
 |
Anmeldedatum: 15.09.10
|
 |
|
 |
Wohnort: Bayern
|
 |
|
 |
Version: 2020b
|
 |
|
|
 |
|
Verfasst am: 02.02.2021, 21:57
Titel:
|
 |
Hallo Balu,
R und K sind Systemparameter und keine Zustände, weswegen du sie nicht (sinnvoll) in deinen Zustandsvektor aufnehmen kannst. Ein Zustand muss immer Bezug zu einem Speicher haben, z.B. Spule, Kondensator, Masse.
VG
cyrez
|
|
|
|
| Ausloggen |

Forum-Anfänger
|
 |
Beiträge: 19
|
 |
|
 |
Anmeldedatum: 08.01.20
|
 |
|
 |
Wohnort: München
|
 |
|
 |
Version: ---
|
 |
|
|
 |
|
Verfasst am: 03.02.2021, 10:46
Titel:
|
 |
Hallo,
deine Problemstellung ist, das du die A Matrix des Systems schätzen musst (Falls die übrigen Parameter bekannt sind). Beispielsweise wäre es möglich durch Beaufschlagen eines Signals am Eingang (z.B. mit weißem Rauschen oder bestimmten, reichhaltigen Signalen) und Messen am Ausgang des Systems durch ein geeignetes Verfahren die Matrix zu fitten.
Viele Grüße
|
|
|
|
|
|
|
Einstellungen und Berechtigungen
|
|
Du kannst Beiträge in dieses Forum schreiben. Du kannst auf Beiträge in diesem Forum antworten. Du kannst deine Beiträge in diesem Forum nicht bearbeiten. Du kannst deine Beiträge in diesem Forum nicht löschen. Du kannst an Umfragen in diesem Forum nicht mitmachen. Du kannst Dateien in diesem Forum posten Du kannst Dateien in diesem Forum herunterladen
|
|
Impressum
| Nutzungsbedingungen
| Datenschutz
| FAQ
| RSS
Hosted by:
Copyright © 2007 - 2026
goMatlab.de | Dies ist keine offizielle Website der Firma The Mathworks
MATLAB, Simulink, Stateflow, Handle Graphics, Real-Time Workshop, SimBiology, SimHydraulics, SimEvents, and xPC TargetBox are registered trademarks and The MathWorks, the L-shaped membrane logo, and Embedded MATLAB are trademarks of The MathWorks, Inc.
|
|